Решебник 1
новое издание / упражнение / 27

Решебник 2
новое издание / упражнение / 27

Решебник 3
новое издание / упражнение / 27


Решебник 4
новое издание / упражнение / 27


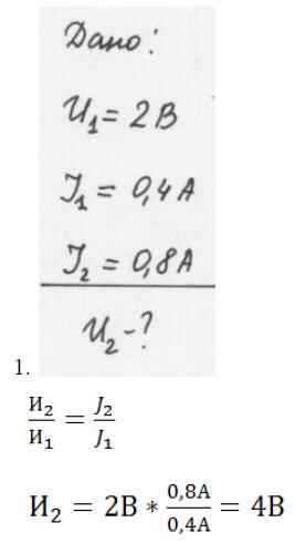
Здесь готовые ответы по Физике за 8 (восьмой) класс от Перышкин Учебник Вертикаль (издательство: Дрофа от 2014 г.) № 27