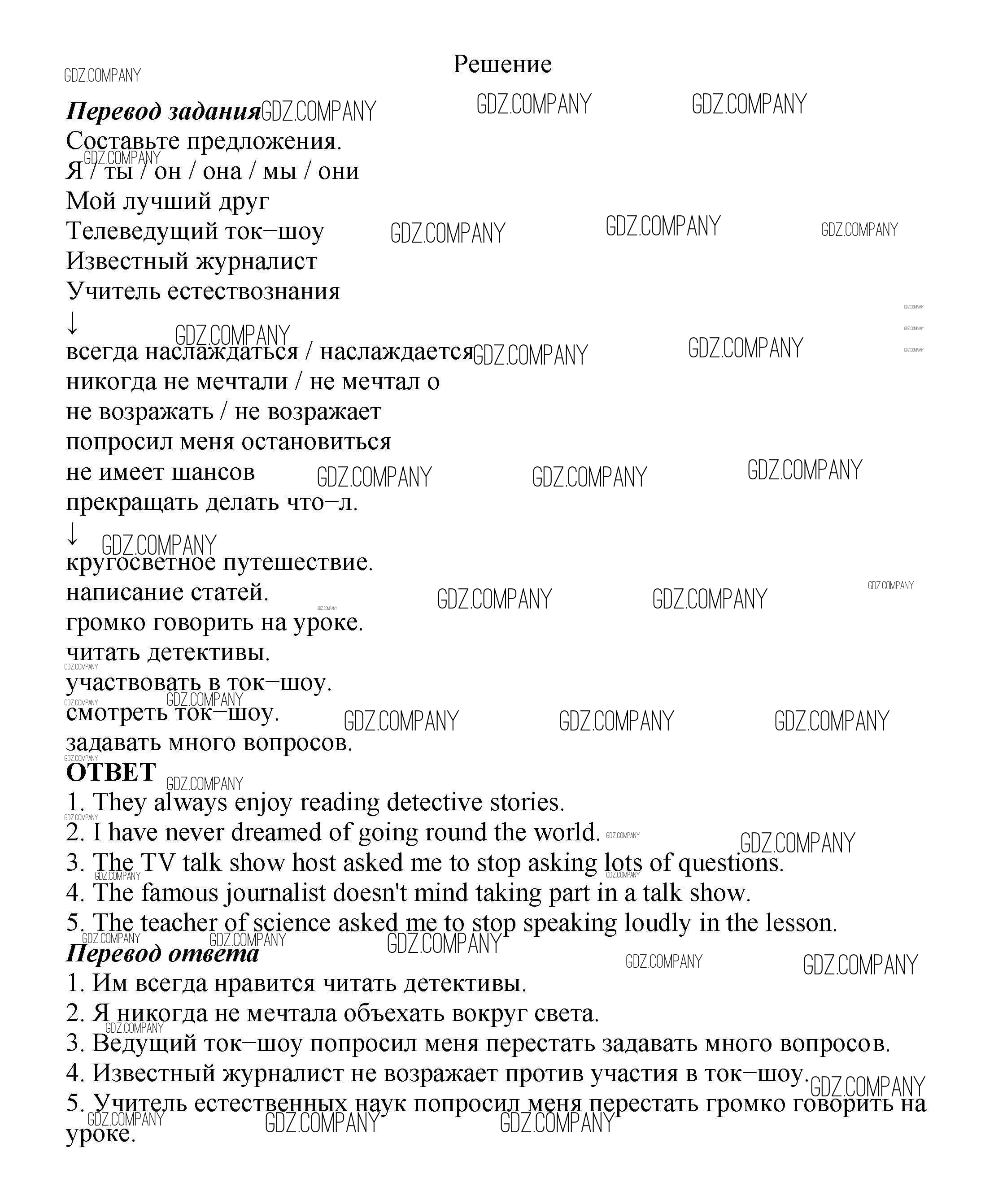
Решебник №1 к учебнику "Дрофа"
unit 3 / section 2 / 21


Решебник №2 к учебнику "Дрофа"
unit 3 / section 2 / 21

Решебник №1 к учебнику "Титул"
unit 3 / section 2 / 21

Решебник №2 к учебнику "Титул"
unit 3 / section 2 / 21

Здесь готовые ответы по Английскому языку за 8 (восьмой) класс от Биболетова, Трубанева Учебник Enjoy English (издательство: Титул от 2015 г.) № 21