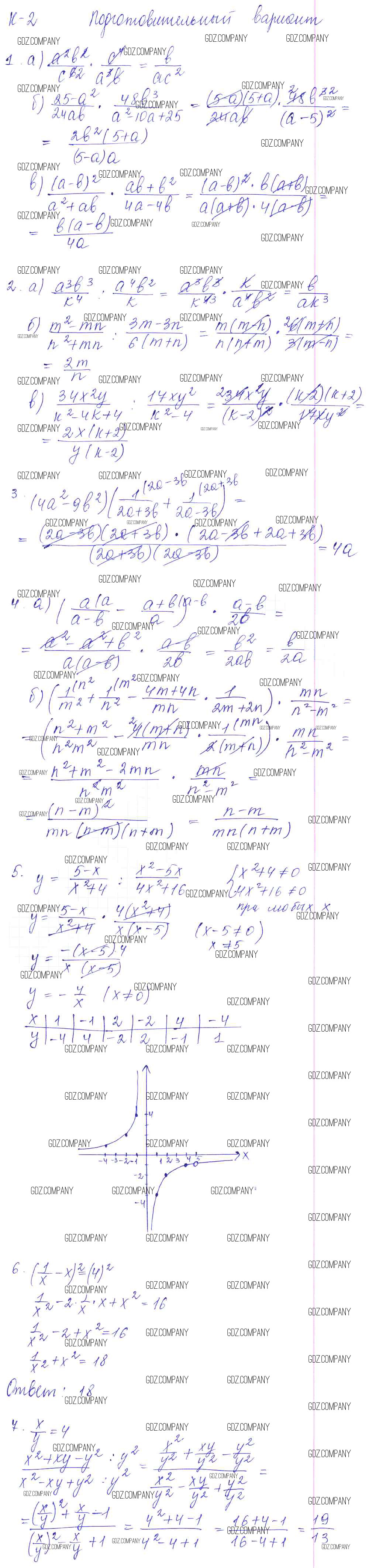
Решебник
контрольная работа / кр-2 / подготовительный вариант

Здесь готовые ответы по Алгебре за 8 (восьмой) класс от Звавич, Дьяконова Дидактические материалы УМК (издательство: Экзамен от 2015 г.) № Подготовительный вариант