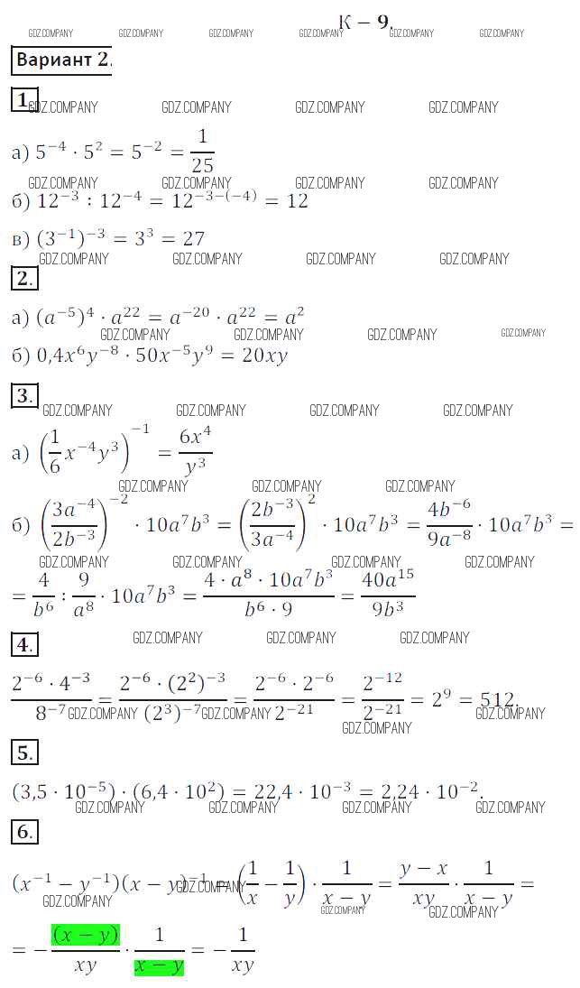
Решебник №1
контрольная работа / кр №9 / вариант 2

Решебник №2
контрольная работа / кр №9 / вариант 2

Здесь готовые ответы по Алгебре за 8 (восьмой) класс от Жохов, Макарычев, Миндюк Дидактические материалы (издательство: Просвещение от 2014 г.) № вариант 2