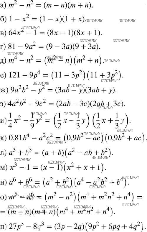
Решебник №1
повторение / 695

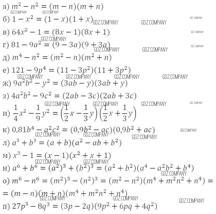
Решебник №2
повторение / 695

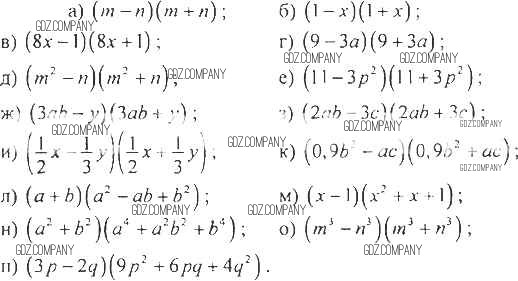
Решебник №3
повторение / 695

Здесь готовые ответы по Алгебре за 8 (восьмой) класс от Никольский, Потапов, Решетников, Шевкин Учебник МГУ - школе (издательство: Просвещение от 2014 г.) № 695