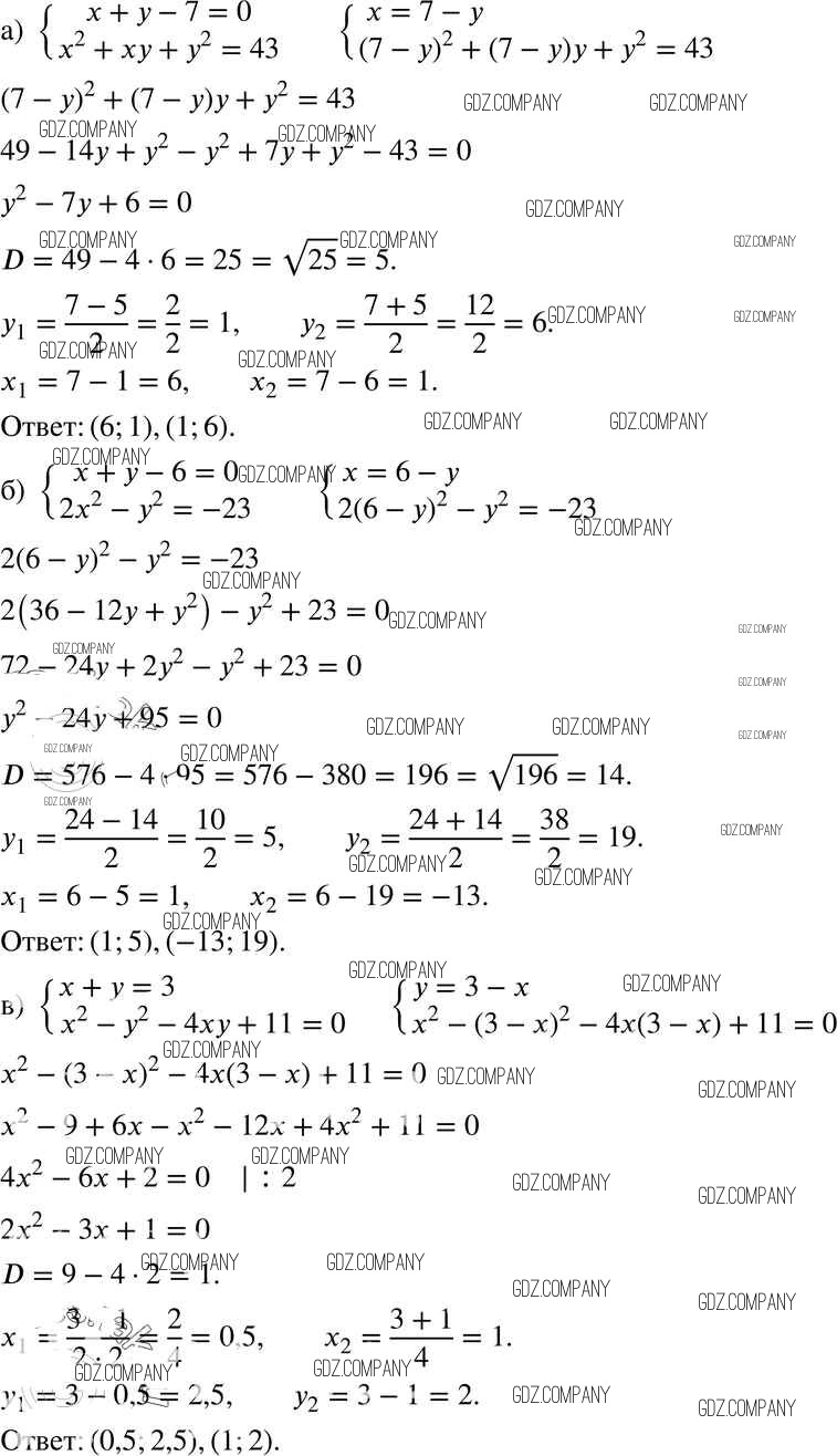
Решебник №1
глава 4 / 542




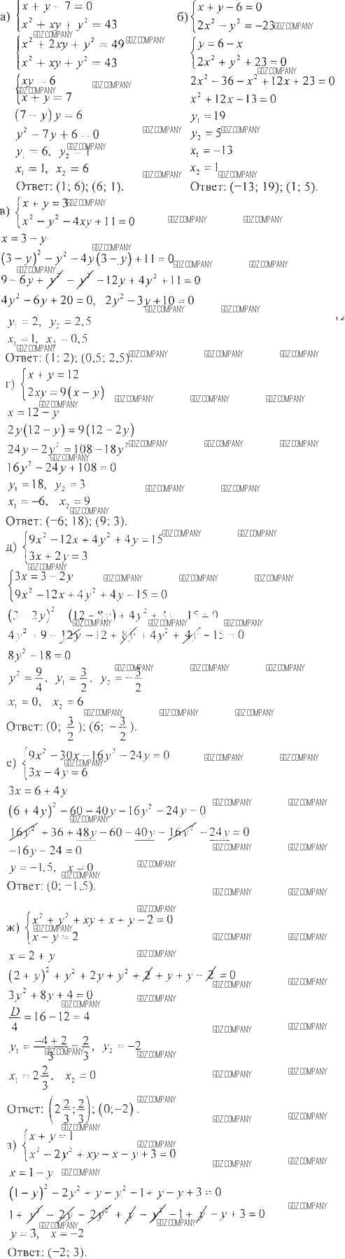
Решебник №2
глава 4 / 542

Решебник №3
глава 4 / 542

Здесь готовые ответы по Алгебре за 8 (восьмой) класс от Никольский, Потапов, Решетников, Шевкин Учебник МГУ - школе (издательство: Просвещение от 2014 г.) № 542