Решебник №1
глава 2 / 213

Решебник №2
глава 2 / 213

Решебник №3
глава 2 / 213

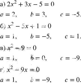
Здесь готовые ответы по Алгебре за 8 (восьмой) класс от Никольский, Потапов, Решетников, Шевкин Учебник МГУ - школе (издательство: Просвещение от 2014 г.) № 213