Решебник №1
глава 1 / 147

Решебник №2
глава 1 / 147

Решебник №3
глава 1 / 147

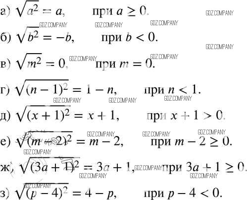
Здесь готовые ответы по Алгебре за 8 (восьмой) класс от Никольский, Потапов, Решетников, Шевкин Учебник МГУ - школе (издательство: Просвещение от 2014 г.) № 147