Решебник

домашние контрольные работы / домашняя контрольная работа 2 / вариант 2 / 8

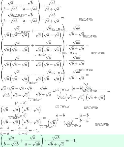
Здесь готовые ответы по Алгебре за 8 (восьмой) класс от Мордкович, Александрова, Тульчинская, Мишустина Задачник Базовый уровень (издательство: Мнемозина от 2021 г.) № 8 Базовый уровень