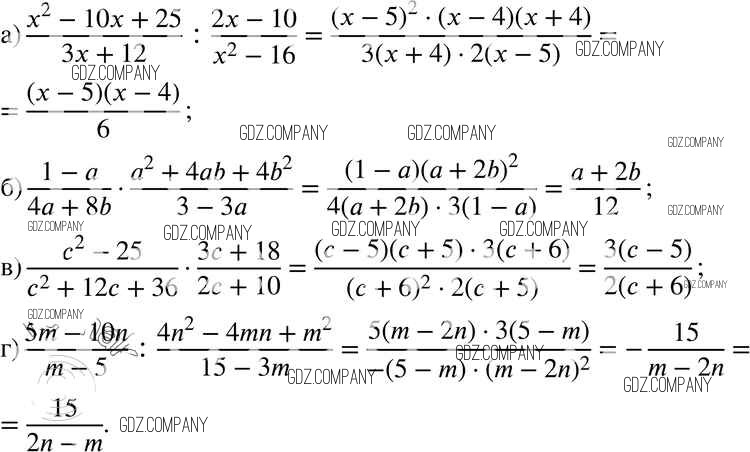
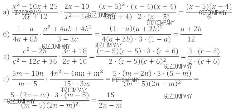
Условия
параграф 5 / 22

Решебник №1
параграф 5 / 22

Решебник №2
параграф 5 / 22

Здесь готовые ответы по Алгебре за 8 (восьмой) класс от Мишустина, Мордкович, Тульчинская Задачник Базовый уровень (издательство: Мнемозина от 2015 г.) № 22 Базовый уровень