Условия
параграф 4 / 30

Решебник №1
параграф 4 / 30

Решебник №2
параграф 4 / 30

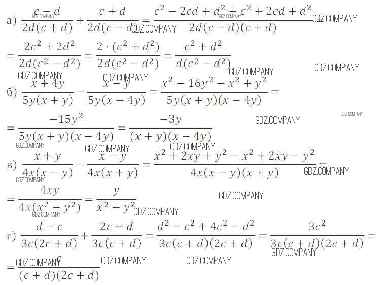
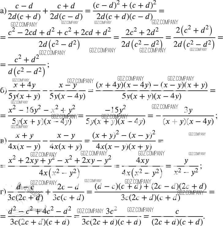
Здесь готовые ответы по Алгебре за 8 (восьмой) класс от Мишустина, Мордкович, Тульчинская Задачник Базовый уровень (издательство: Мнемозина от 2015 г.) № 30 Базовый уровень