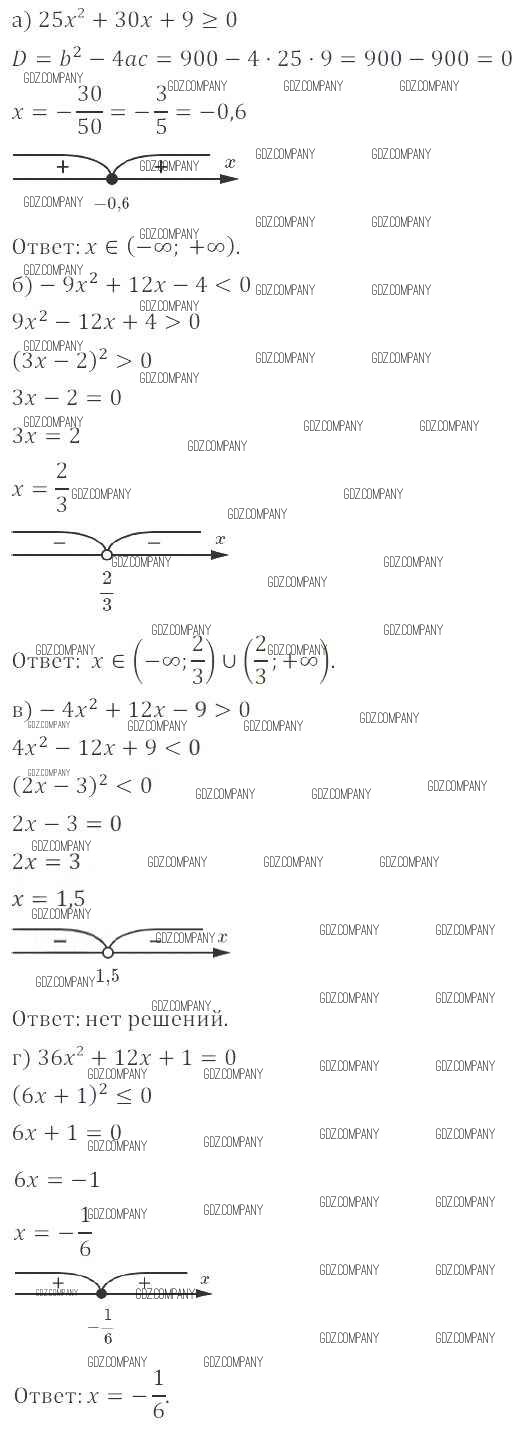
Условия
параграф 34 / 11

Решебник №1
параграф 34 / 11

Решебник №2
параграф 34 / 11

Здесь готовые ответы по Алгебре за 8 (восьмой) класс от Мишустина, Мордкович, Тульчинская Задачник Базовый уровень (издательство: Мнемозина от 2015 г.) № 11 Базовый уровень