Условия
параграф 33 / 3

Решебник №1
параграф 33 / 3

Решебник №2
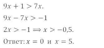
параграф 33 / 3

Здесь готовые ответы по Алгебре за 8 (восьмой) класс от Мишустина, Мордкович, Тульчинская Задачник Базовый уровень (издательство: Мнемозина от 2015 г.) № 3 Базовый уровень