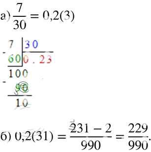
Условия
работа / глава 2. вариант / 2 / 1

Решебник №1
работа / глава 2. вариант / 2 / 1

Решебник №2
работа / глава 2. вариант / 2 / 1

Здесь готовые ответы по Алгебре за 8 (восьмой) класс от Мишустина, Мордкович, Тульчинская Задачник Базовый уровень (издательство: Мнемозина от 2015 г.) № 1 Базовый уровень