Условия
работа / глава 2. вариант / 1 / 5

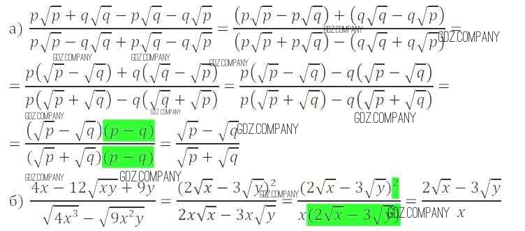
Решебник №1
работа / глава 2. вариант / 1 / 5

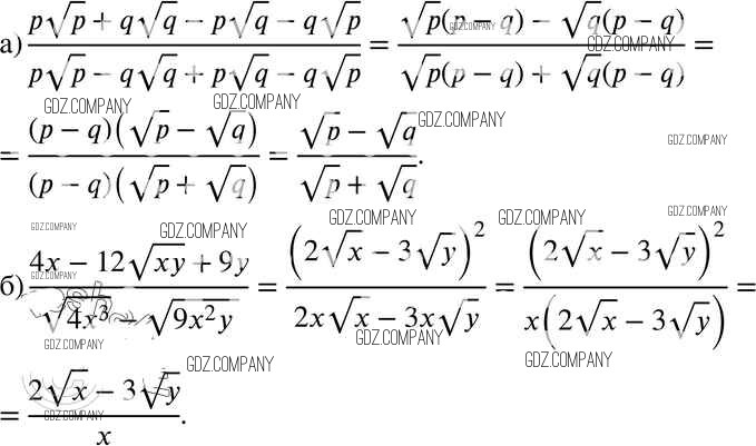
Решебник №2
работа / глава 2. вариант / 1 / 5

Здесь готовые ответы по Алгебре за 8 (восьмой) класс от Мишустина, Мордкович, Тульчинская Задачник Базовый уровень (издательство: Мнемозина от 2015 г.) № 5 Базовый уровень