Условия
параграф 29 / 37

Решебник №1
параграф 29 / 37


Решебник №2
параграф 29 / 37

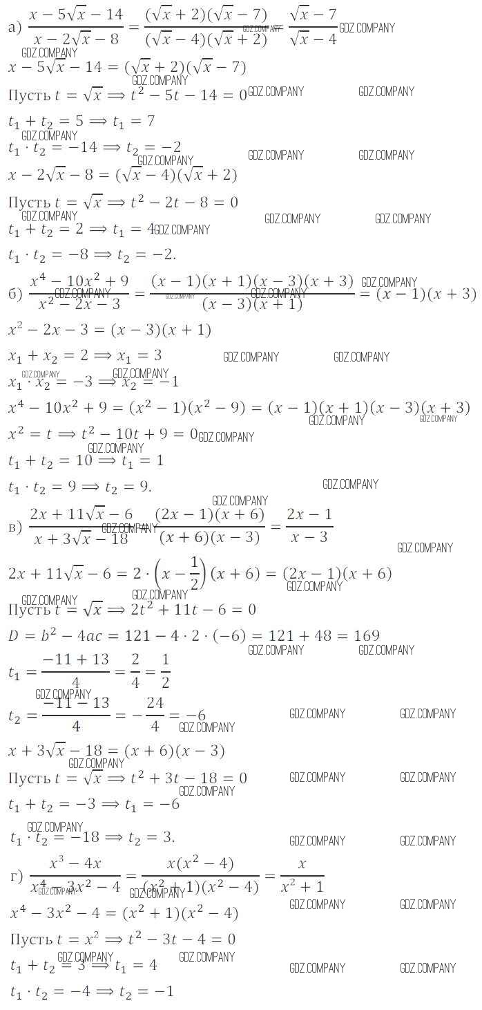
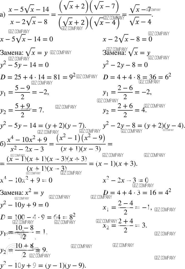
Здесь готовые ответы по Алгебре за 8 (восьмой) класс от Мишустина, Мордкович, Тульчинская Задачник Базовый уровень (издательство: Мнемозина от 2015 г.) № 37 Базовый уровень