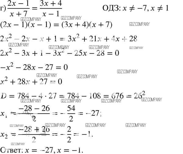
Условия
параграф 26 / 7

Решебник №1
параграф 26 / 7


Решебник №2
параграф 26 / 7

Здесь готовые ответы по Алгебре за 8 (восьмой) класс от Мишустина, Мордкович, Тульчинская Задачник Базовый уровень (издательство: Мнемозина от 2015 г.) № 7 Базовый уровень