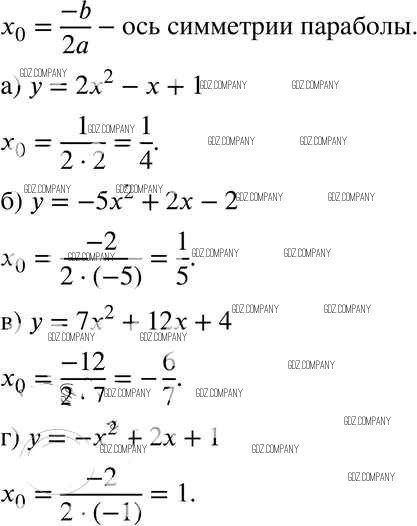
Условия
параграф 22 / 5

Решебник №1
параграф 22 / 5

Решебник №2
параграф 22 / 5

Здесь готовые ответы по Алгебре за 8 (восьмой) класс от Мишустина, Мордкович, Тульчинская Задачник Базовый уровень (издательство: Мнемозина от 2015 г.) № 5 Базовый уровень