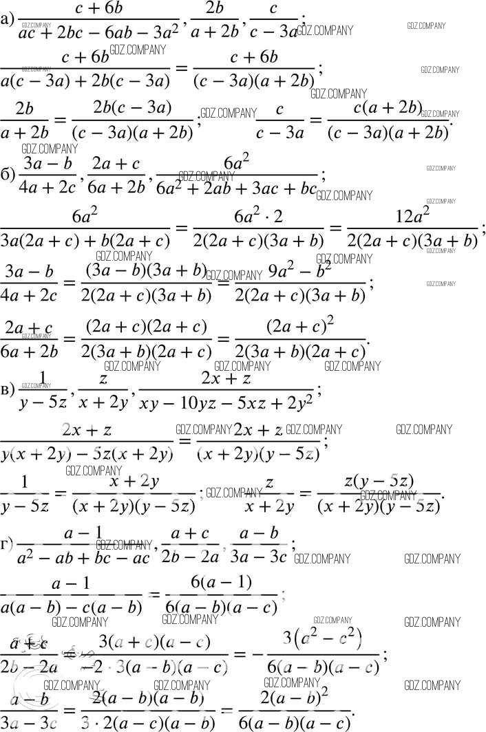
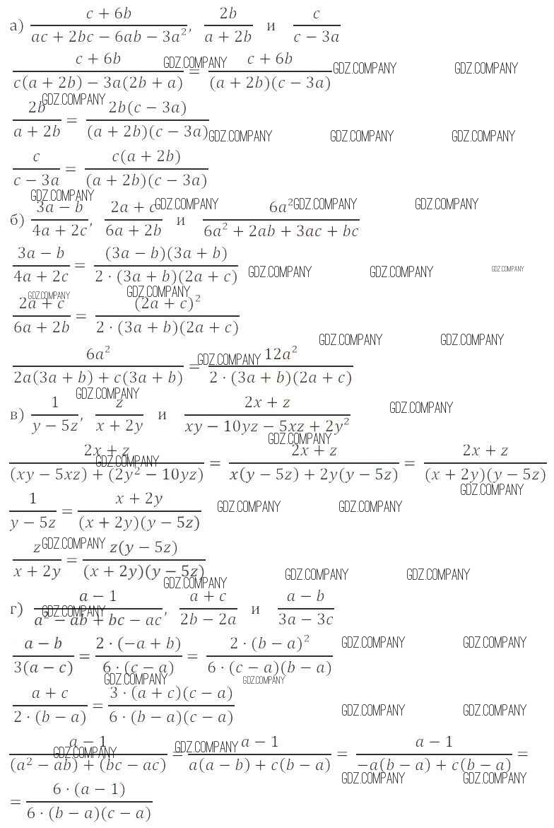
Условия
параграф 2 / 46

Решебник №1
параграф 2 / 46

Решебник №2
параграф 2 / 46

Здесь готовые ответы по Алгебре за 8 (восьмой) класс от Мишустина, Мордкович, Тульчинская Задачник Базовый уровень (издательство: Мнемозина от 2015 г.) № 46 Базовый уровень