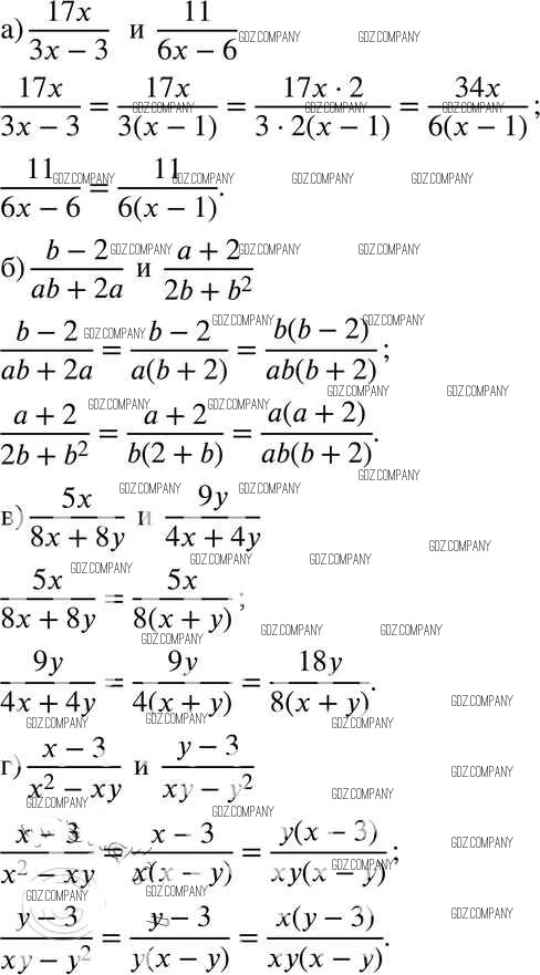
Условия
параграф 2 / 25

Решебник №1
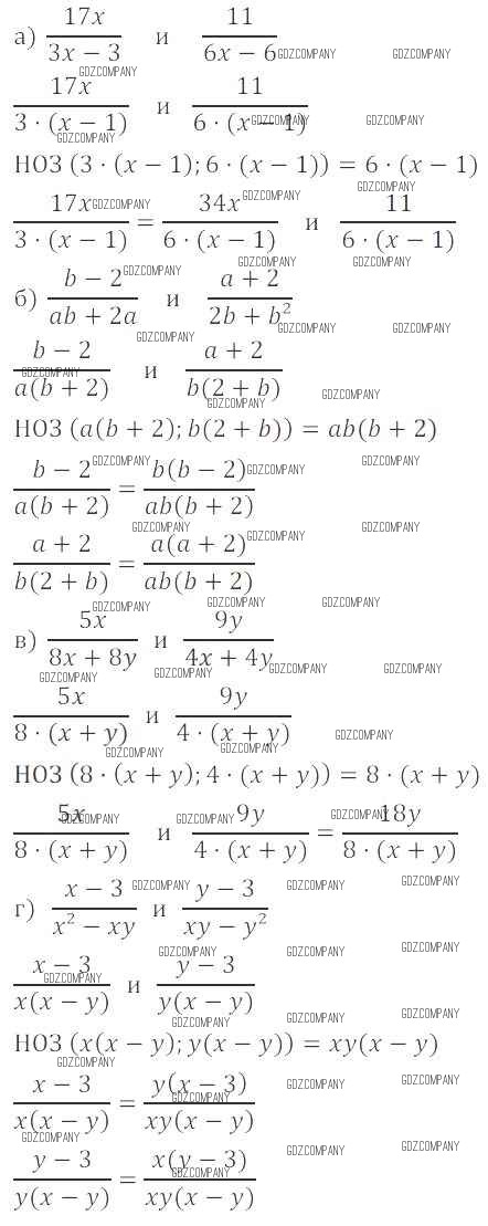
параграф 2 / 25

Решебник №2
параграф 2 / 25

Здесь готовые ответы по Алгебре за 8 (восьмой) класс от Мишустина, Мордкович, Тульчинская Задачник Базовый уровень (издательство: Мнемозина от 2015 г.) № 25 Базовый уровень