Условия
повторение / 136

Решебник №1
повторение / 136

Решебник №2
повторение / 136

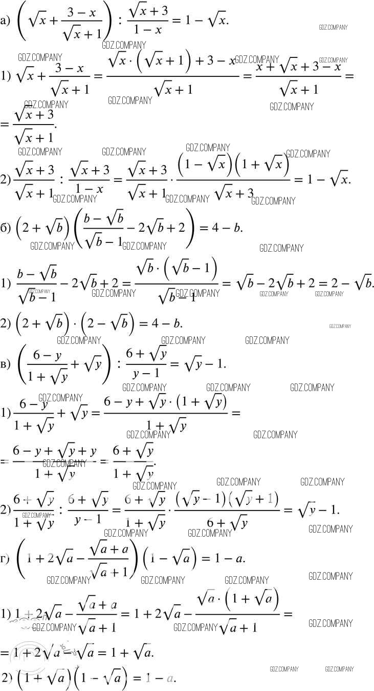
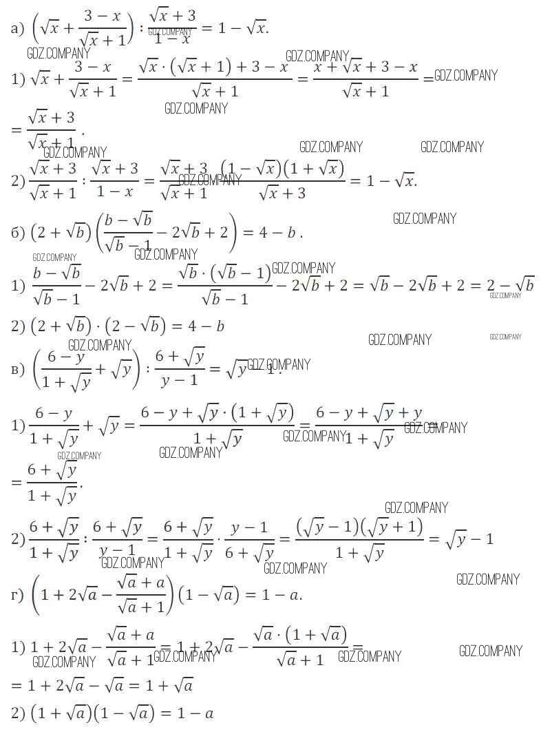
Здесь готовые ответы по Алгебре за 8 (восьмой) класс от Мишустина, Мордкович, Тульчинская Задачник Базовый уровень (издательство: Мнемозина от 2015 г.) № 136 Базовый уровень