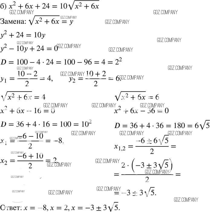
Условия
повторение / 131

Решебник №1
повторение / 131


Решебник №2
повторение / 131

Здесь готовые ответы по Алгебре за 8 (восьмой) класс от Мишустина, Мордкович, Тульчинская Задачник Базовый уровень (издательство: Мнемозина от 2015 г.) № 131 Базовый уровень