Условия
параграф 15 / 88

Решебник №1
параграф 15 / 88

Решебник №2
параграф 15 / 88

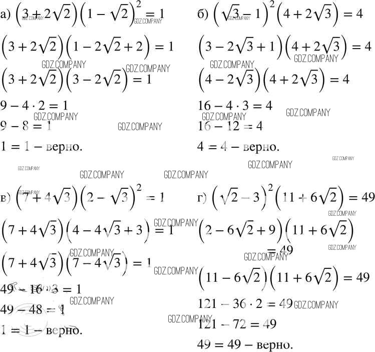
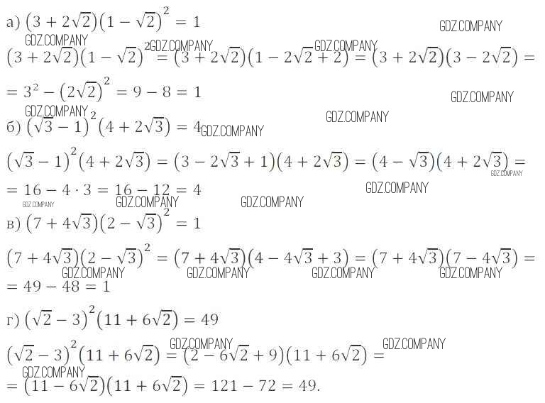
Здесь готовые ответы по Алгебре за 8 (восьмой) класс от Мишустина, Мордкович, Тульчинская Задачник Базовый уровень (издательство: Мнемозина от 2015 г.) № 88 Базовый уровень