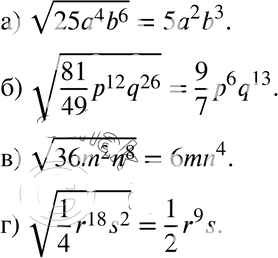
Условия
параграф 14 / 18

Решебник №1
параграф 14 / 18

Решебник №2
параграф 14 / 18

Здесь готовые ответы по Алгебре за 8 (восьмой) класс от Мишустина, Мордкович, Тульчинская Задачник Базовый уровень (издательство: Мнемозина от 2015 г.) № 18 Базовый уровень