Решебник №1
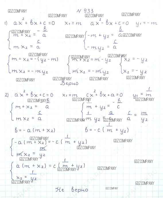
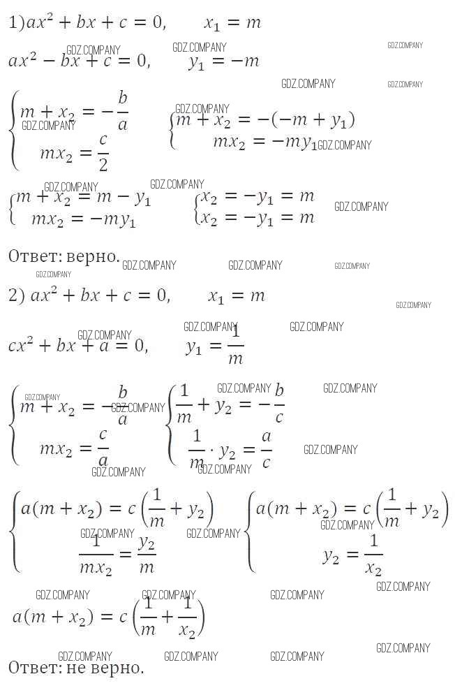
упражнение для повторения / 933

Решебник №2
упражнение для повторения / 933

Решебник №3
упражнение для повторения / 933

Решебник №4
упражнение для повторения / 933

Здесь готовые ответы по Алгебре за 8 (восьмой) класс от Мерзляк, Полонский, Якир Учебник Алгоритм успеха (издательство: Вентана-граф от 2016 г.) № 933