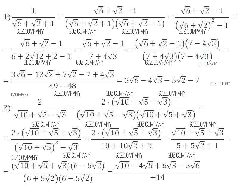
Решебник №1
упражнение для повторения / 907

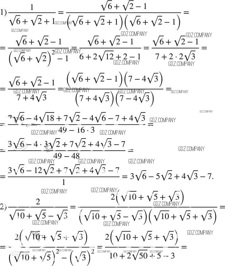
Решебник №2
упражнение для повторения / 907

Решебник №3
упражнение для повторения / 907


Решебник №4
упражнение для повторения / 907


Здесь готовые ответы по Алгебре за 8 (восьмой) класс от Мерзляк, Полонский, Якир Учебник Алгоритм успеха (издательство: Вентана-граф от 2016 г.) № 907