Решебник №1
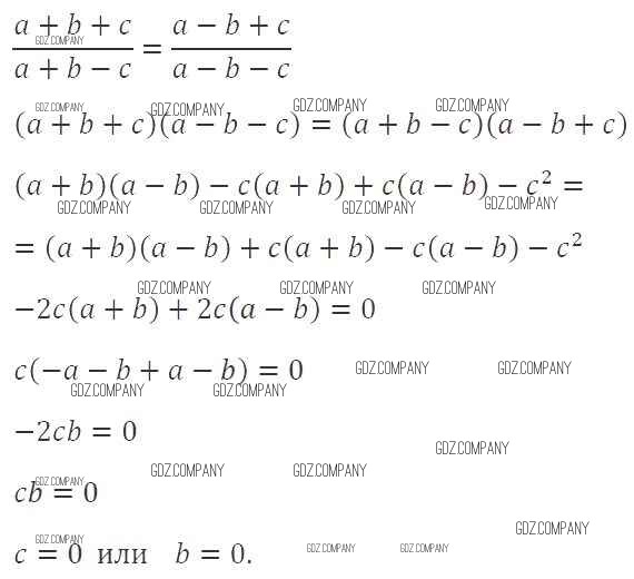
упражнение для повторения / 858

Решебник №2
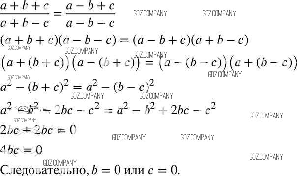
упражнение для повторения / 858

Решебник №3
упражнение для повторения / 858

Решебник №4
упражнение для повторения / 858

Здесь готовые ответы по Алгебре за 8 (восьмой) класс от Мерзляк, Полонский, Якир Учебник Алгоритм успеха (издательство: Вентана-граф от 2016 г.) № 858