Решебник №1
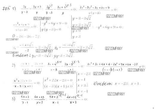
глава 3 / §23 / 785

Решебник №2
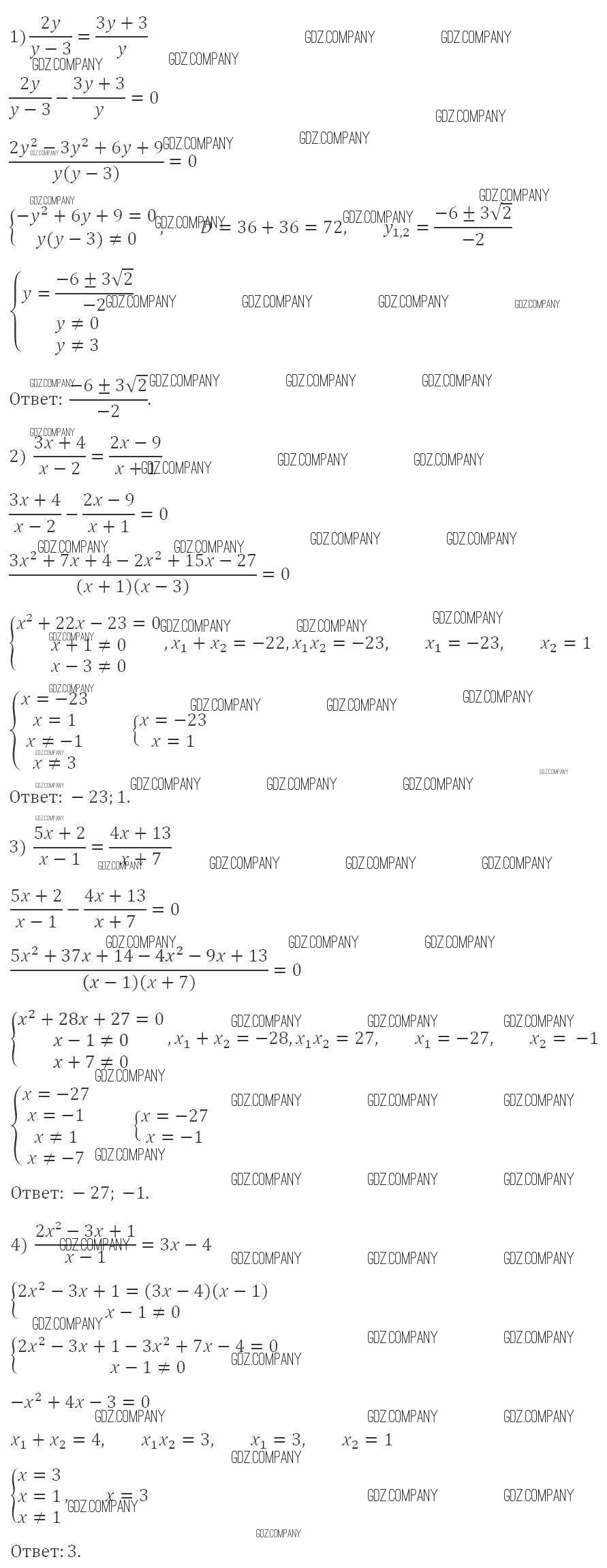
глава 3 / §23 / 785


Решебник №3
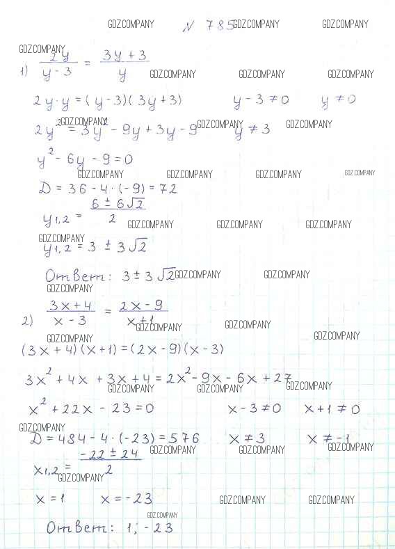
глава 3 / §23 / 785


Решебник №4
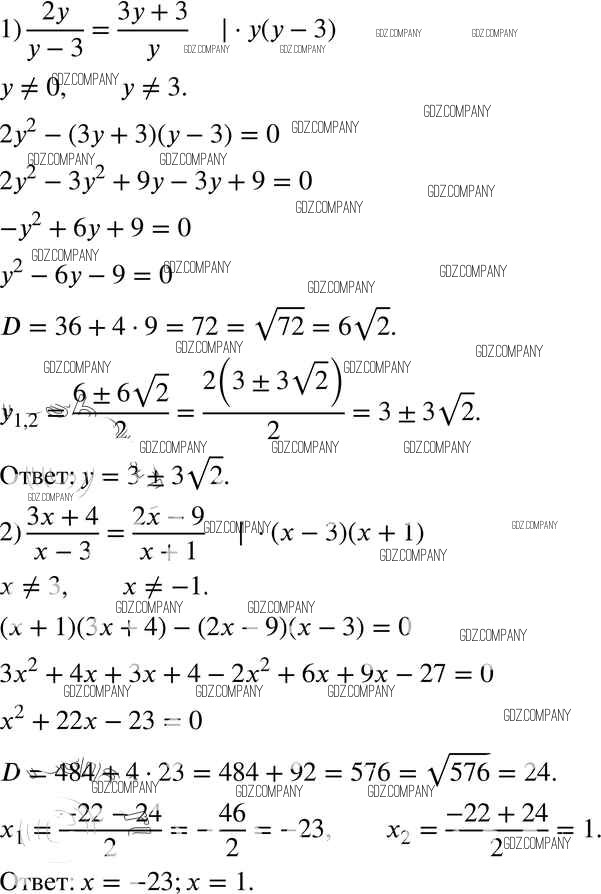
глава 3 / §23 / 785


Решебник №5
глава 3 / §23 / 785



Решебник №6
глава 3 / §23 / 785


Здесь готовые ответы по Алгебре за 8 (восьмой) класс от Мерзляк, Полонский, Якир Учебник Алгоритм успеха (издательство: Вентана-граф от 2016 г.) № 785