Решебник №1
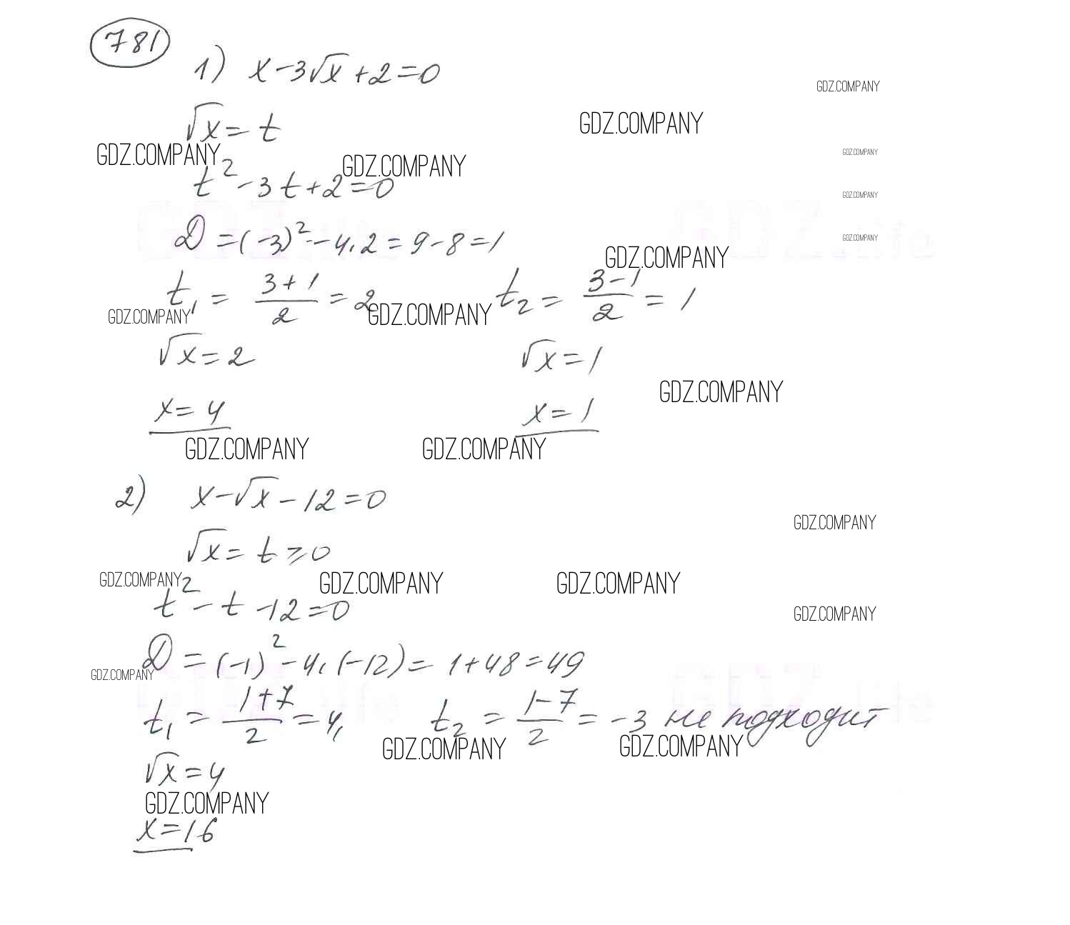
глава 3 / §23 / 781

Решебник №2
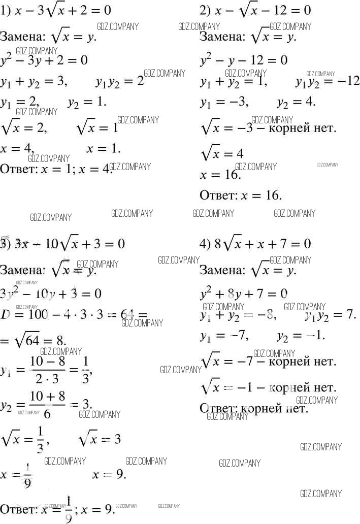
глава 3 / §23 / 781


Решебник №3
глава 3 / §23 / 781


Решебник №4
глава 3 / §23 / 781



Решебник №5
глава 3 / §23 / 781



Решебник №6
глава 3 / §23 / 781


Здесь готовые ответы по Алгебре за 8 (восьмой) класс от Мерзляк, Полонский, Якир Учебник Алгоритм успеха (издательство: Вентана-граф от 2016 г.) № 781