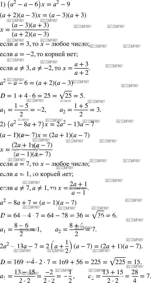
Решебник №1
глава 3 / §22 / 767

Решебник №2
глава 3 / §22 / 767

Решебник №3
глава 3 / §22 / 767

Решебник №4
глава 3 / §22 / 767


Решебник №5
глава 3 / §22 / 767



Решебник №6
глава 3 / §22 / 767

Здесь готовые ответы по Алгебре за 8 (восьмой) класс от Мерзляк, Полонский, Якир Учебник Алгоритм успеха (издательство: Вентана-граф от 2016 г.) № 767