Решебник №1
глава 3 / §21 / 733

Решебник №2
глава 3 / §21 / 733

Решебник №3
глава 3 / §21 / 733

Решебник №4
глава 3 / §21 / 733

Решебник №5
глава 3 / §21 / 733

Решебник №6
глава 3 / §21 / 733

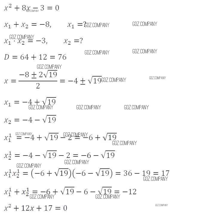
Здесь готовые ответы по Алгебре за 8 (восьмой) класс от Мерзляк, Полонский, Якир Учебник Алгоритм успеха (издательство: Вентана-граф от 2016 г.) № 733