Решебник №1
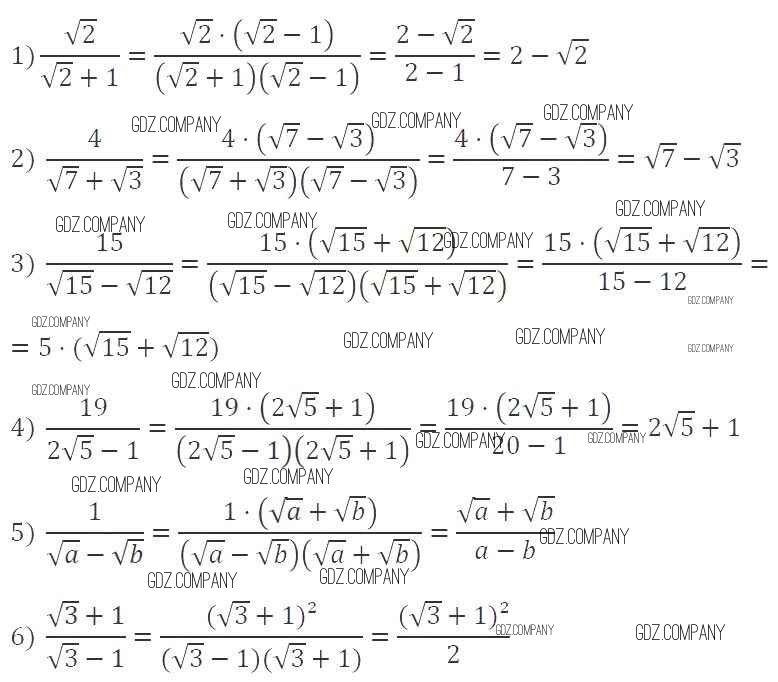
глава 2 / §17 / 557

Решебник №2
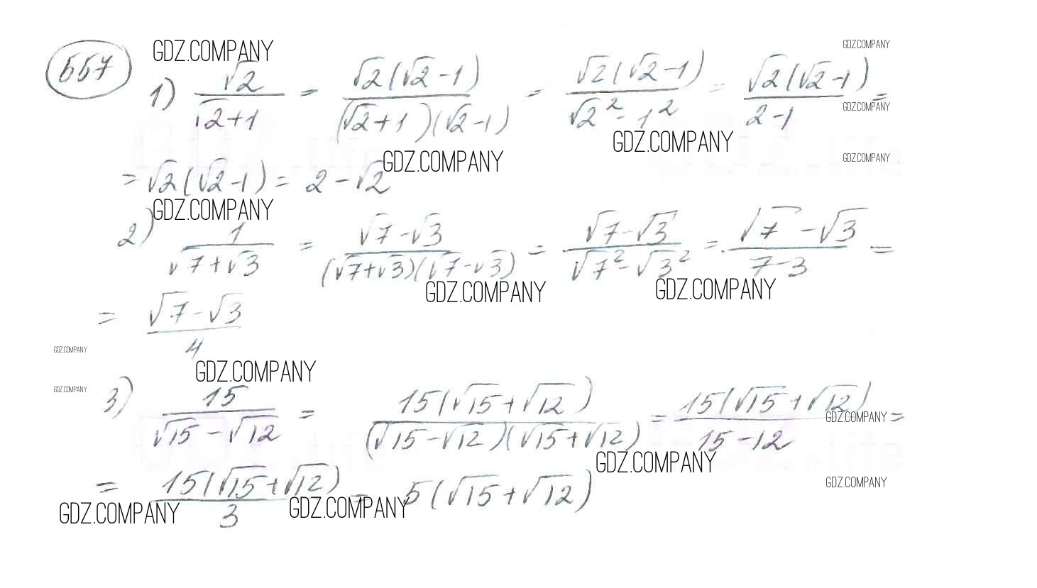
глава 2 / §17 / 557

Решебник №3
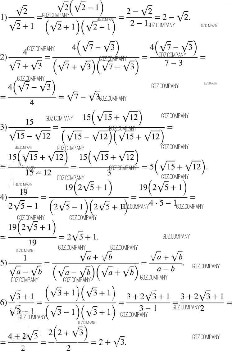
глава 2 / §17 / 557

Решебник №4
глава 2 / §17 / 557


Решебник №6
глава 2 / §17 / 557

Здесь готовые ответы по Алгебре за 8 (восьмой) класс от Мерзляк, Полонский, Якир Учебник Алгоритм успеха (издательство: Вентана-граф от 2016 г.) № 557