Решебник №1
глава 2 / §16 / 504

Решебник №2
глава 2 / §16 / 504

Решебник №3
глава 2 / §16 / 504

Решебник №4
глава 2 / §16 / 504

Решебник №5
глава 2 / §16 / 504

Решебник №6
глава 2 / §16 / 504

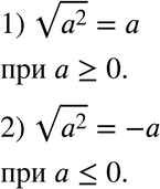
Здесь готовые ответы по Алгебре за 8 (восьмой) класс от Мерзляк, Полонский, Якир Учебник Алгоритм успеха (издательство: Вентана-граф от 2016 г.) № 504