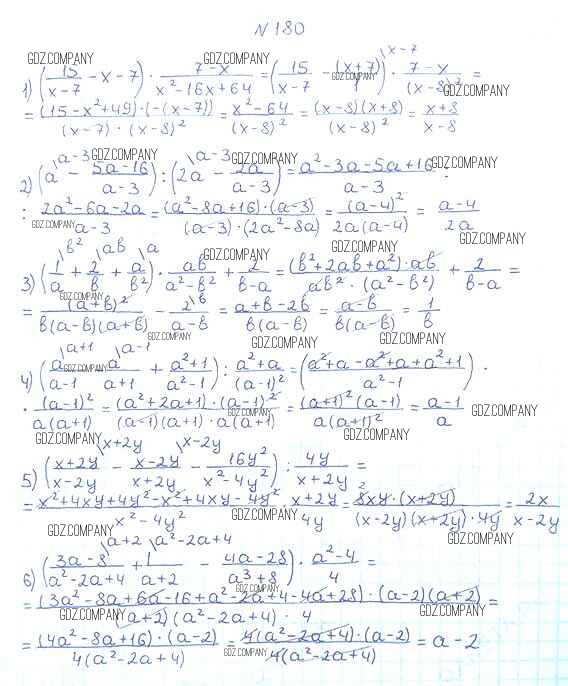
Решебник №1
глава 1 / §6 / 180

Решебник №2
глава 1 / §6 / 180

Решебник №3
глава 1 / §6 / 180


Решебник №4
глава 1 / §6 / 180


Решебник №5
глава 1 / §6 / 180



Решебник №6
глава 1 / §6 / 180


Здесь готовые ответы по Алгебре за 8 (восьмой) класс от Мерзляк, Полонский, Якир Учебник Алгоритм успеха (издательство: Вентана-граф от 2016 г.) № 180