Решебник №1
глава 1 / §4 / 112

Решебник №2
глава 1 / §4 / 112

Решебник №3
глава 1 / §4 / 112


Решебник №4
глава 1 / §4 / 112



Решебник №5
глава 1 / §4 / 112


Решебник №6
глава 1 / §4 / 112

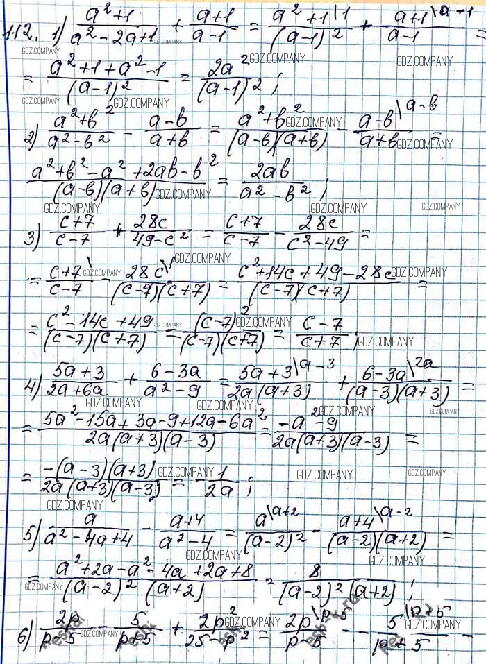
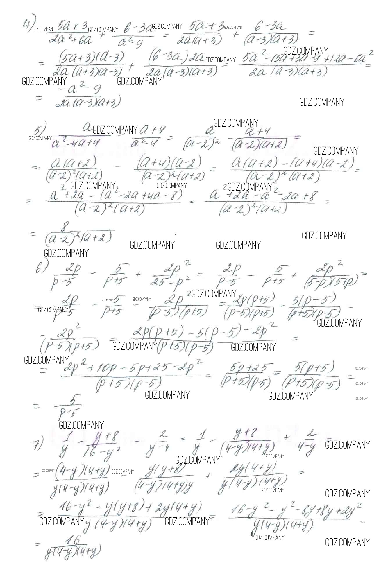
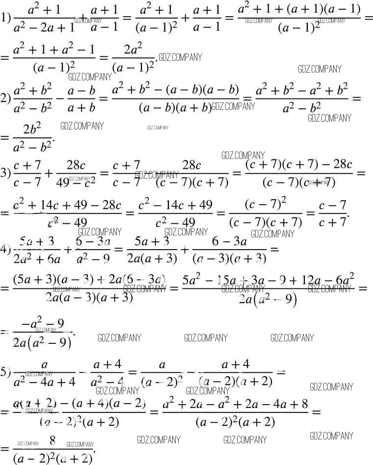
Здесь готовые ответы по Алгебре за 8 (восьмой) класс от Мерзляк, Полонский, Якир Учебник Алгоритм успеха (издательство: Вентана-граф от 2016 г.) № 112