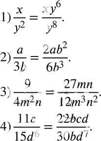
Решебник №1
глава 1 / §2 / 35

Решебник №2
глава 1 / §2 / 35

Решебник №3
глава 1 / §2 / 35

Решебник №4
глава 1 / §2 / 35

Решебник №5
глава 1 / §2 / 35


Решебник №6
глава 1 / §2 / 35

Здесь готовые ответы по Алгебре за 8 (восьмой) класс от Мерзляк, Полонский, Якир Учебник Алгоритм успеха (издательство: Вентана-граф от 2016 г.) № 35