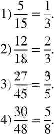
Решебник №1
глава 1 / §1 / 17

Решебник №2
глава 1 / §1 / 17

Решебник №3
глава 1 / §1 / 17

Решебник №4
глава 1 / §1 / 17

Решебник №5
глава 1 / §1 / 17

Решебник №6
глава 1 / §1 / 17

Здесь готовые ответы по Алгебре за 8 (восьмой) класс от Мерзляк, Полонский, Якир Учебник Алгоритм успеха (издательство: Вентана-граф от 2016 г.) № 17