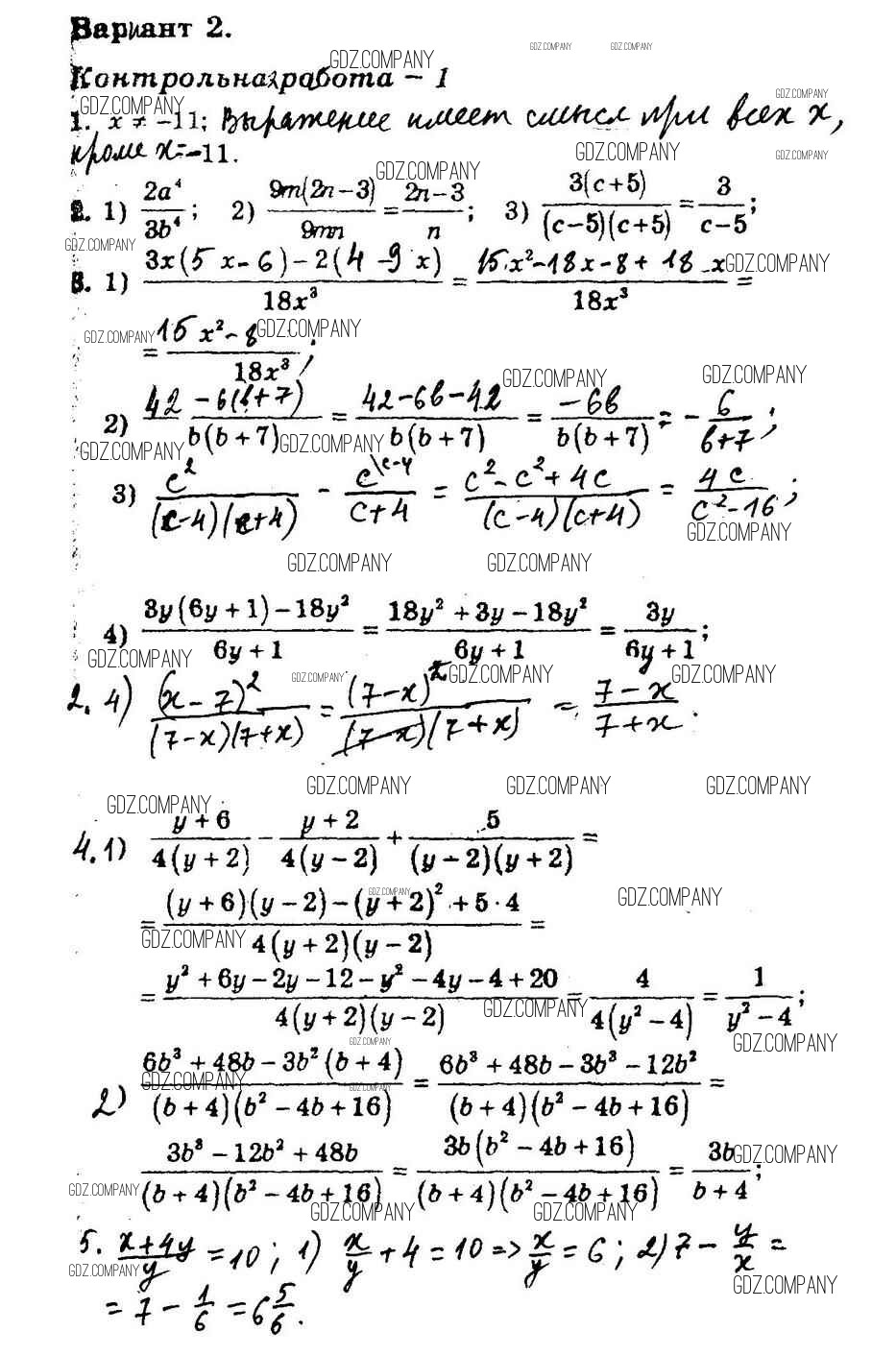
Решебник №1
контрольная работа / кр-1 / вариант 2

Решебник №2
контрольная работа / кр-1 / вариант 2


Решебник №3
контрольная работа / кр-1 / вариант 2


Здесь готовые ответы по Алгебре за 8 (восьмой) класс от Мерзляк, Полонский, Рябинович, Якир Дидактические материалы Алгоритм успеха (издательство: Вентана-граф от 2016 г.) № вариант 2