Решебник №1
упражнение / вариант 2 / 101

Решебник №3
упражнение / вариант 2 / 101

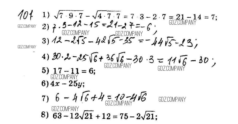
Здесь готовые ответы по Алгебре за 8 (восьмой) класс от Мерзляк, Полонский, Рябинович, Якир Дидактические материалы Алгоритм успеха (издательство: Вентана-граф от 2016 г.) № 101