Решебник №1
упражнение / вариант 1 / 178

Решебник №3
упражнение / вариант 1 / 178

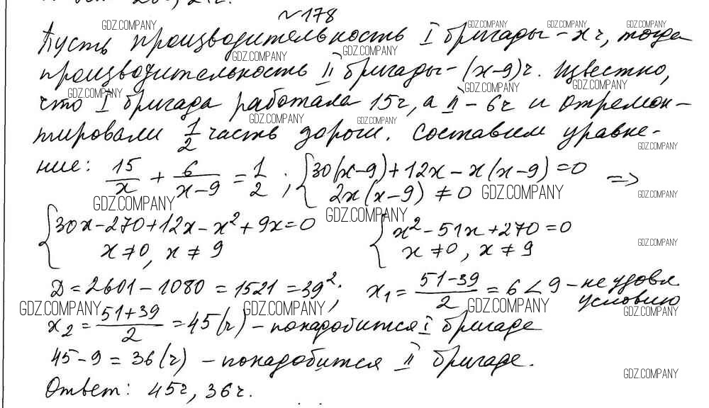
Здесь готовые ответы по Алгебре за 8 (восьмой) класс от Мерзляк, Полонский, Рябинович, Якир Дидактические материалы Алгоритм успеха (издательство: Вентана-граф от 2016 г.) № 178