Учебник
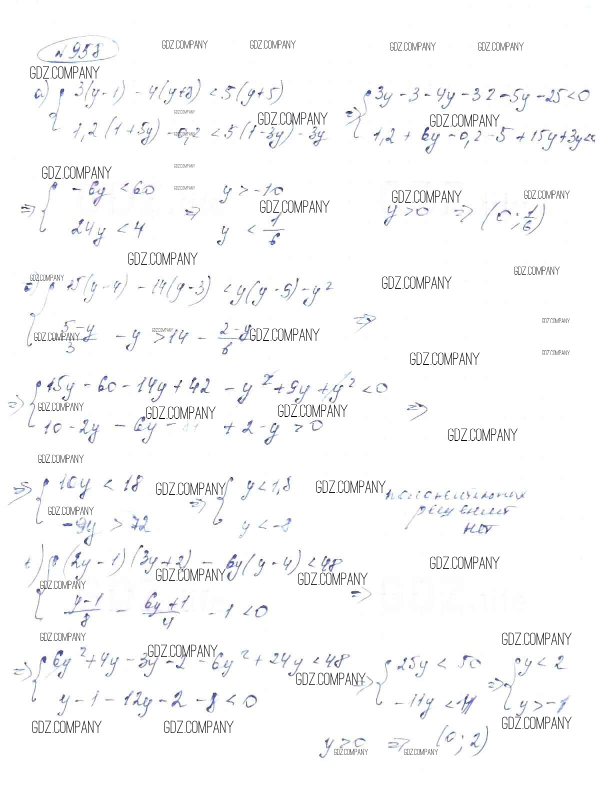
упражнение / 958

Решебник №1
упражнение / 958

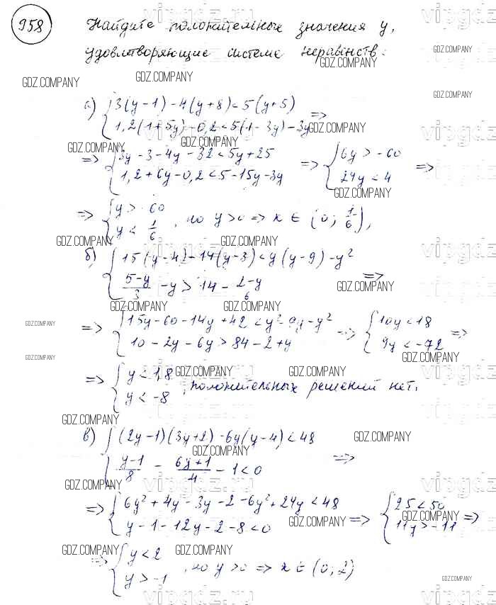
Решебник №2
упражнение / 958

Решебник №3
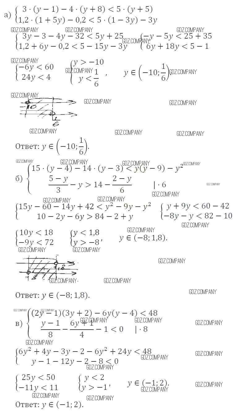
упражнение / 958

Решебник №4
упражнение / 958

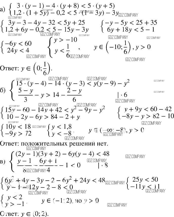
Решебник №5
упражнение / 958

Решебник №6
упражнение / 958

Здесь готовые ответы по Алгебре за 8 (восьмой) класс от Макарычев, Миндюк, Нешков, Суворова Учебник (издательство: Просвещение от 2016 г.) № 958