Учебник
упражнение / 918

Решебник №1
упражнение / 918

Решебник №2
упражнение / 918

Решебник №3
упражнение / 918

Решебник №4
упражнение / 918

Решебник №5
упражнение / 918

Решебник №6
упражнение / 918

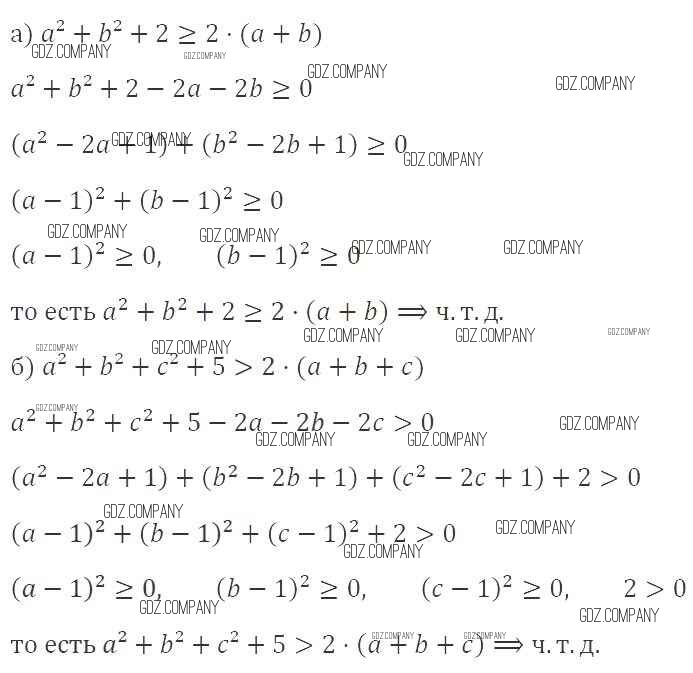
Здесь готовые ответы по Алгебре за 8 (восьмой) класс от Макарычев, Миндюк, Нешков, Суворова Учебник (издательство: Просвещение от 2016 г.) № 918