Учебник
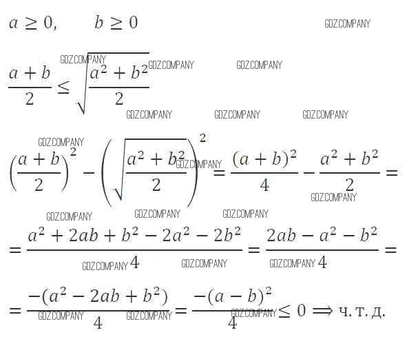
упражнение / 739

Решебник №1
упражнение / 739

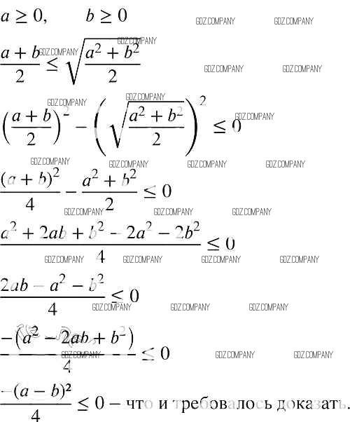
Решебник №2
упражнение / 739

Решебник №3
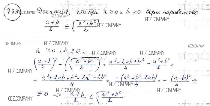
упражнение / 739

Решебник №4
упражнение / 739

Решебник №5
упражнение / 739

Решебник №6
упражнение / 739

Здесь готовые ответы по Алгебре за 8 (восьмой) класс от Макарычев, Миндюк, Нешков, Суворова Учебник (издательство: Просвещение от 2016 г.) № 739