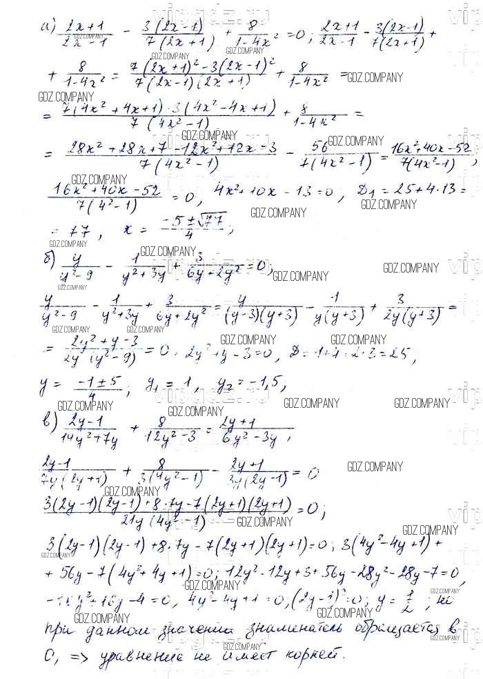
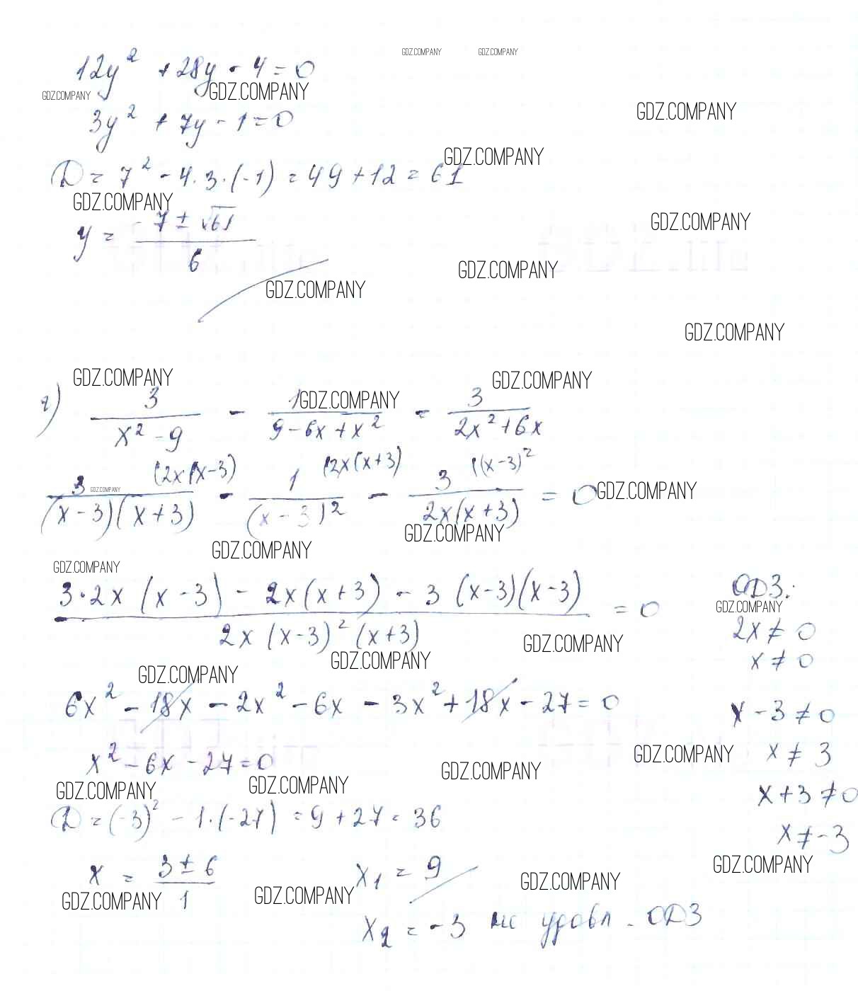
Учебник
упражнение / 696

Решебник №1
упражнение / 696




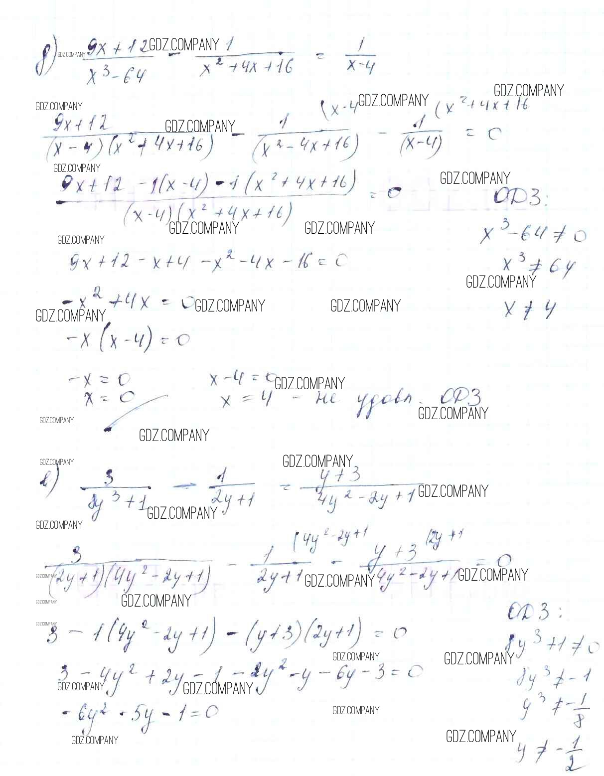
Решебник №2
упражнение / 696




Решебник №3
упражнение / 696

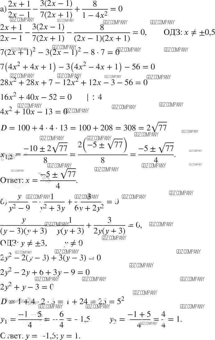
Решебник №4
упражнение / 696

Решебник №5
упражнение / 696






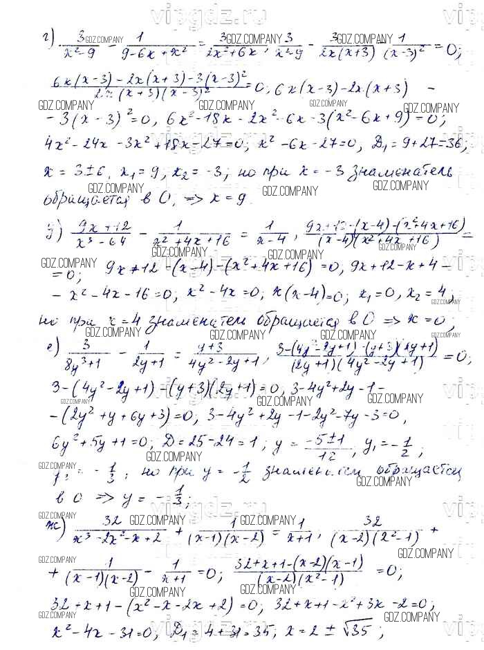
Решебник №6
упражнение / 696

Здесь готовые ответы по Алгебре за 8 (восьмой) класс от Макарычев, Миндюк, Нешков, Суворова Учебник (издательство: Просвещение от 2016 г.) № 696