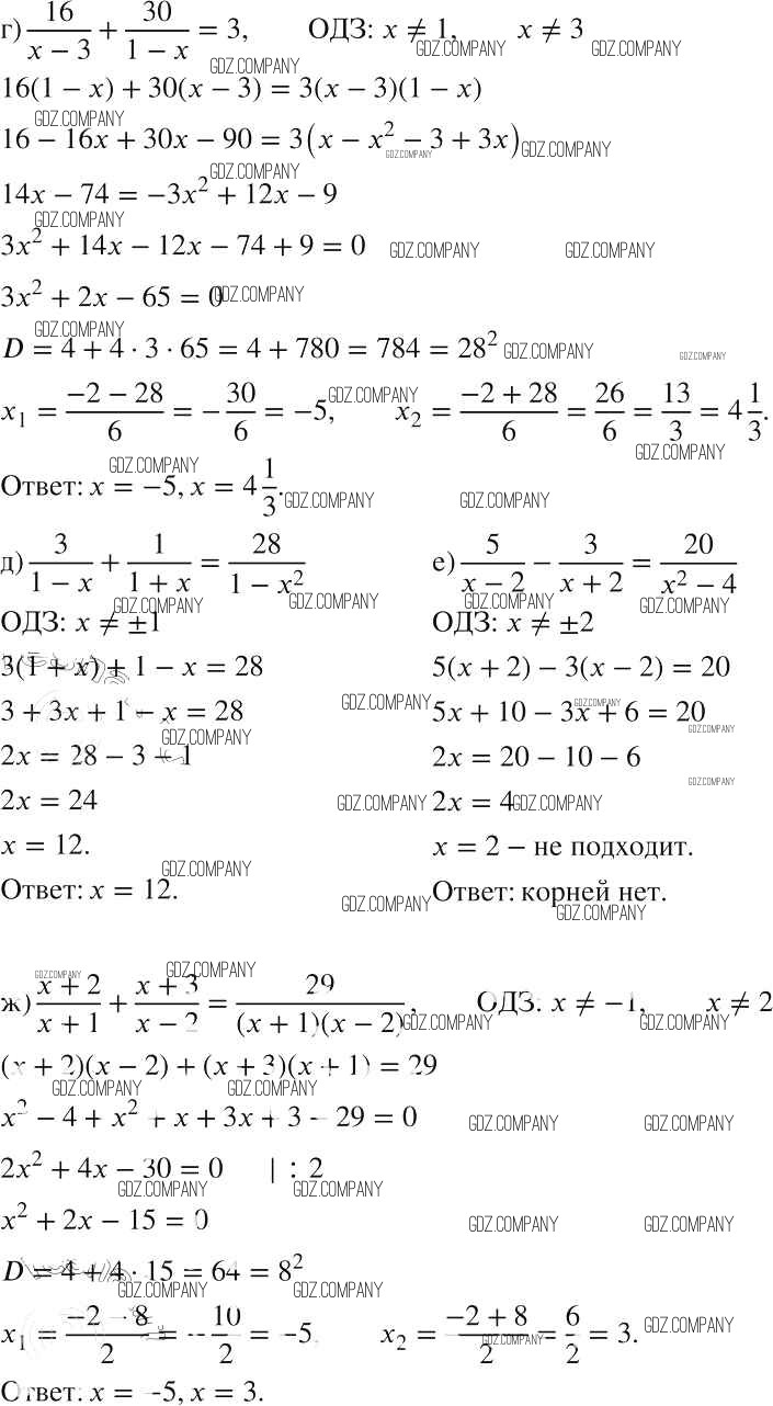
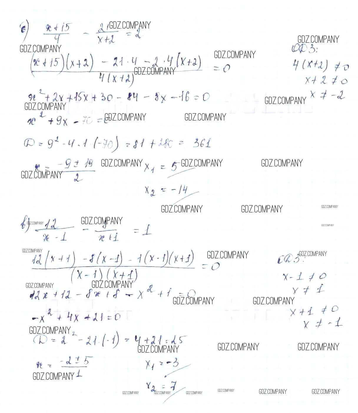
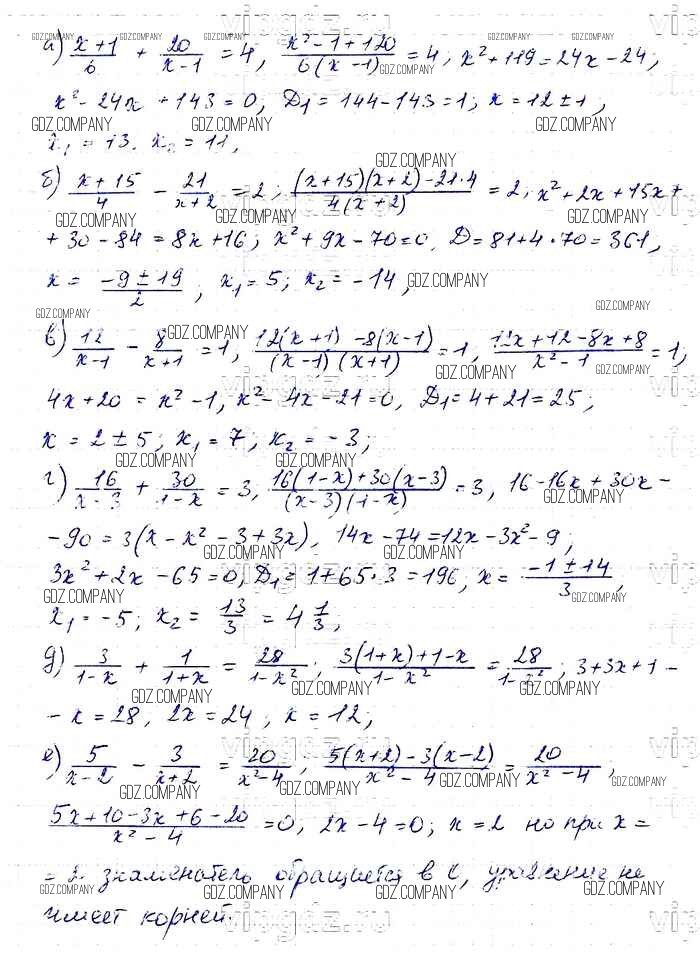
Учебник
упражнение / 690

Решебник №1
упражнение / 690



Решебник №2
упражнение / 690



Решебник №3
упражнение / 690

Решебник №5
упражнение / 690





Решебник №6
упражнение / 690

Здесь готовые ответы по Алгебре за 8 (восьмой) класс от Макарычев, Миндюк, Нешков, Суворова Учебник (издательство: Просвещение от 2016 г.) № 690