Учебник
упражнение / 639

Решебник №1
упражнение / 639

Решебник №2
упражнение / 639

Решебник №3
упражнение / 639

Решебник №4
упражнение / 639

Решебник №5
упражнение / 639


Решебник №6
упражнение / 639

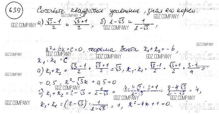
Здесь готовые ответы по Алгебре за 8 (восьмой) класс от Макарычев, Миндюк, Нешков, Суворова Учебник (издательство: Просвещение от 2016 г.) № 639