Учебник
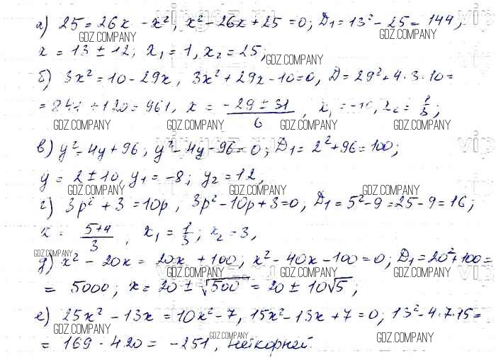
упражнение / 543

Решебник №1
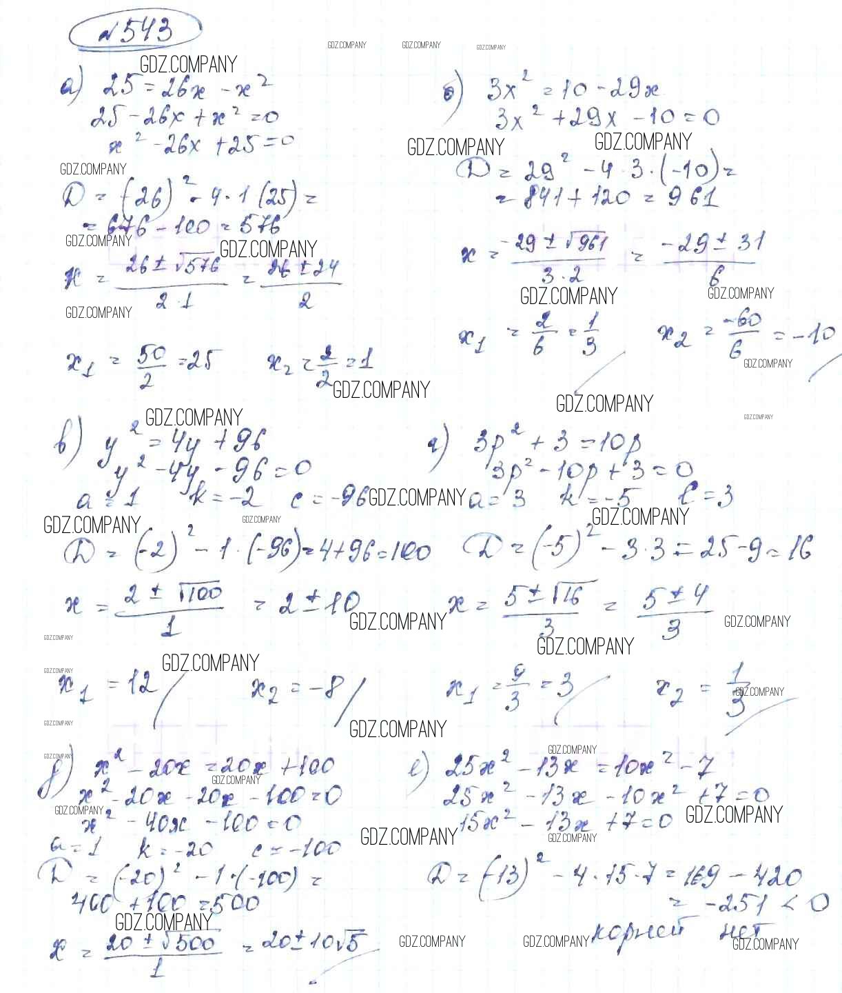
упражнение / 543


Решебник №2
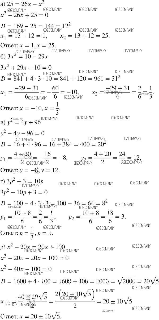
упражнение / 543


Решебник №3
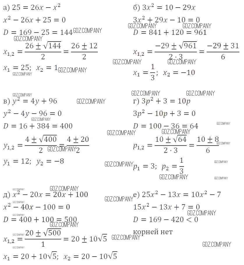
упражнение / 543

Решебник №4
упражнение / 543

Решебник №5
упражнение / 543

Решебник №6
упражнение / 543

Решебник №7
упражнение / 543

Здесь готовые ответы по Алгебре за 8 (восьмой) класс от Макарычев, Миндюк, Нешков, Суворова Учебник (издательство: Просвещение от 2016 г.) № 543