Учебник
упражнение / 164

Решебник №1
упражнение / 164

Решебник №2
упражнение / 164

Решебник №3
упражнение / 164

Решебник №4
упражнение / 164

Решебник №5
упражнение / 164


Решебник №6
упражнение / 164

Решебник №7
упражнение / 164

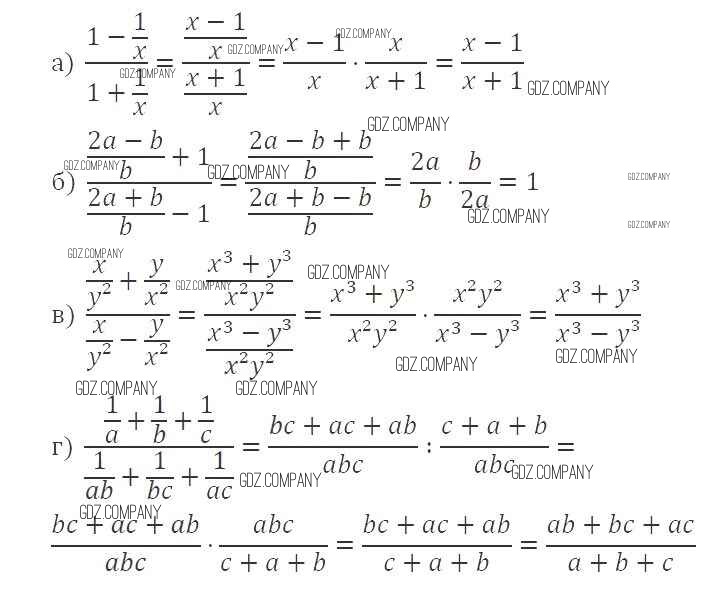
Здесь готовые ответы по Алгебре за 8 (восьмой) класс от Макарычев, Миндюк, Нешков, Суворова Учебник (издательство: Просвещение от 2016 г.) № 164