Учебник
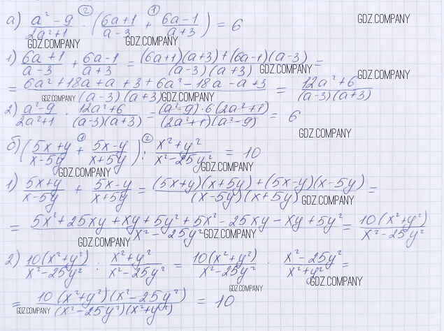
упражнение / 151

Решебник №1
упражнение / 151

Решебник №2
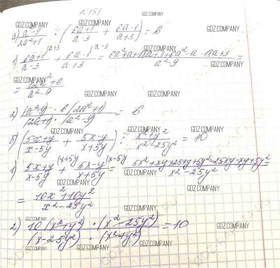
упражнение / 151

Решебник №3
упражнение / 151

Решебник №4
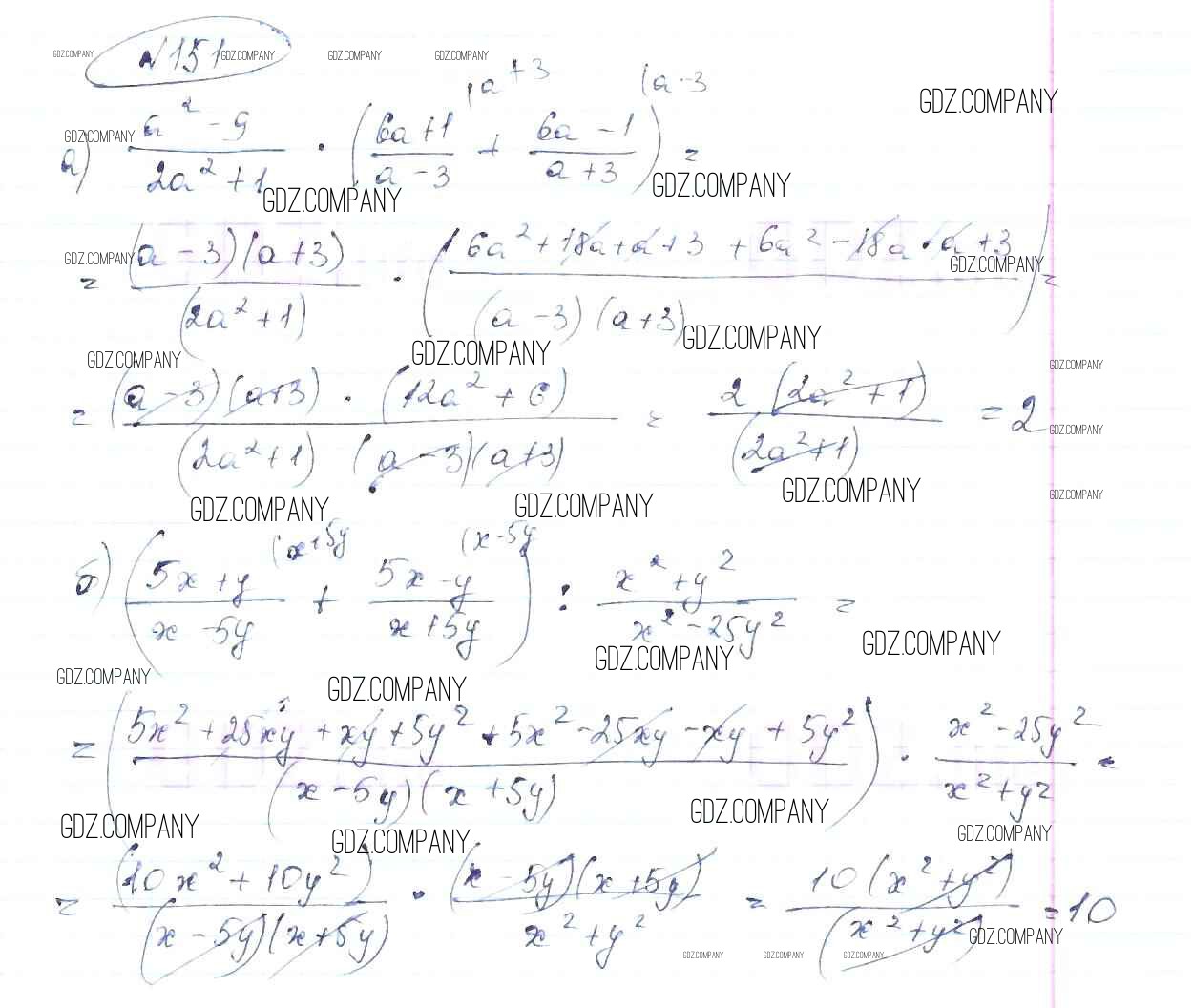
упражнение / 151

Решебник №5
упражнение / 151

Решебник №6
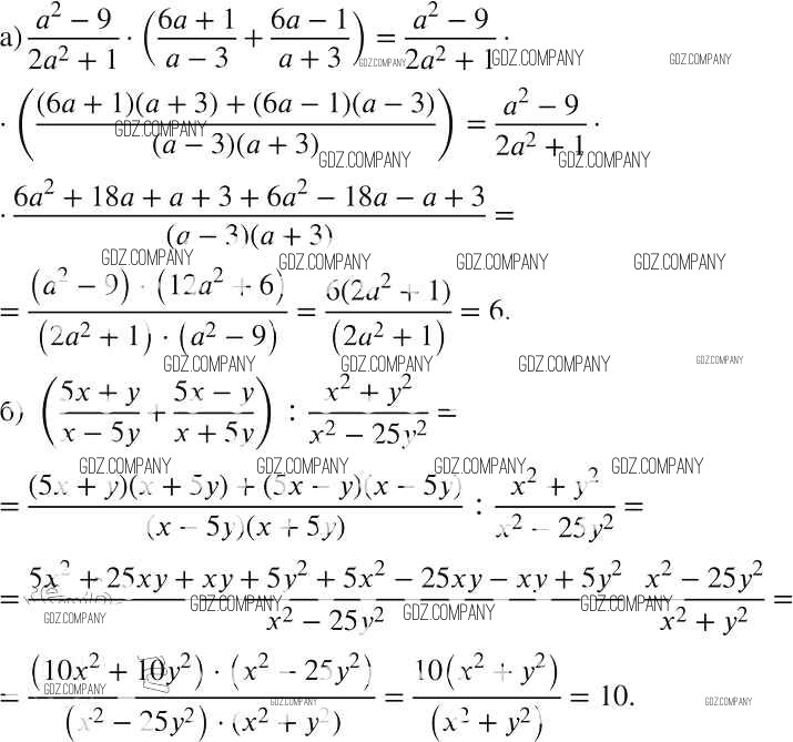
упражнение / 151

Решебник №7
упражнение / 151

Здесь готовые ответы по Алгебре за 8 (восьмой) класс от Макарычев, Миндюк, Нешков, Суворова Учебник (издательство: Просвещение от 2016 г.) № 151