Учебник
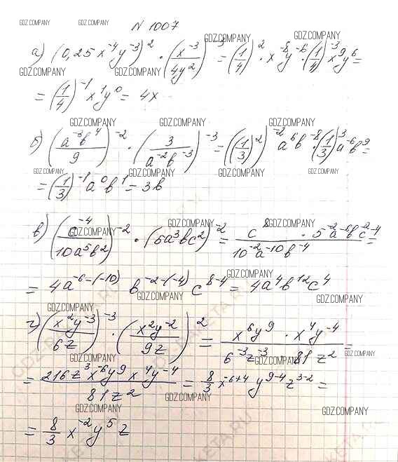
упражнение / 1007

Решебник №1
упражнение / 1007

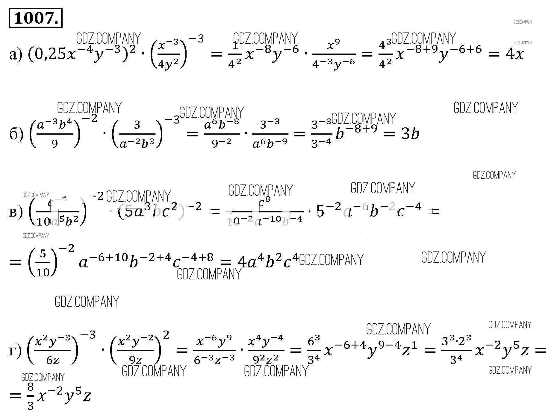
Решебник №2
упражнение / 1007


Решебник №3
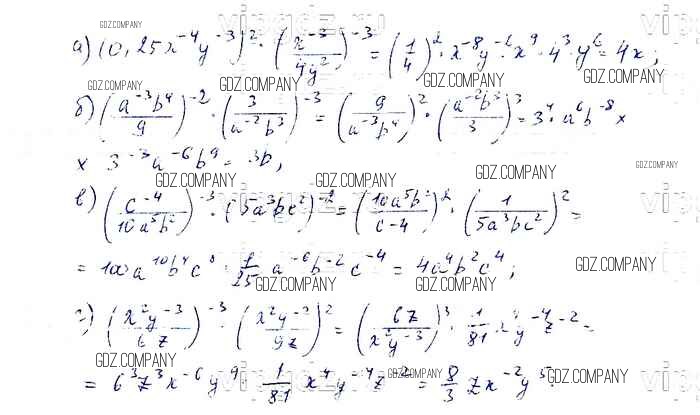
упражнение / 1007

Решебник №4
упражнение / 1007

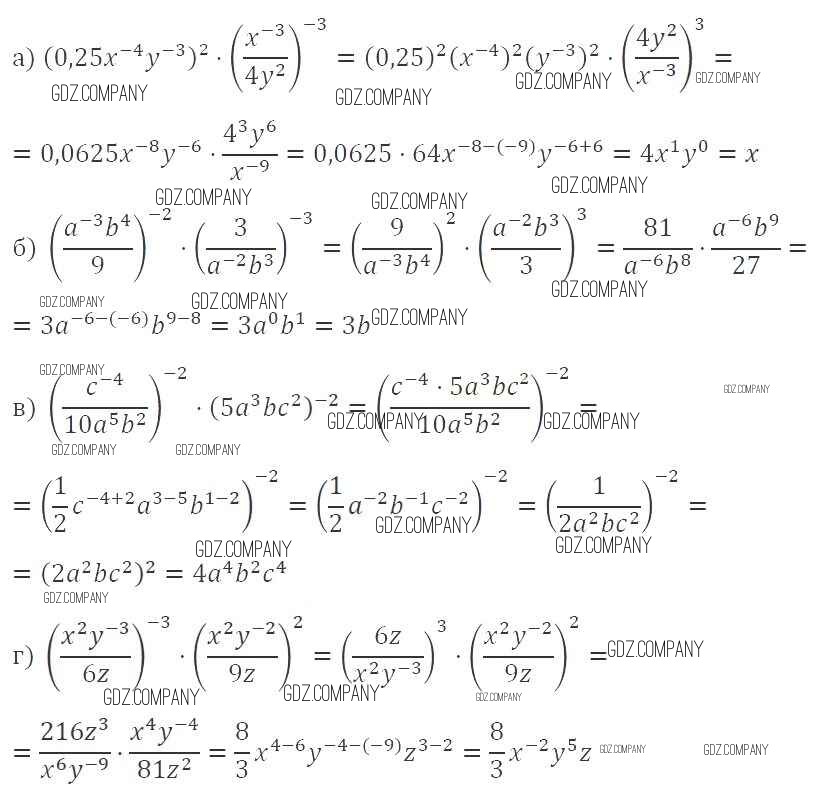
Решебник №5
упражнение / 1007

Решебник №6
упражнение / 1007

Здесь готовые ответы по Алгебре за 8 (восьмой) класс от Макарычев, Миндюк, Нешков, Суворова Учебник (издательство: Просвещение от 2016 г.) № 1007